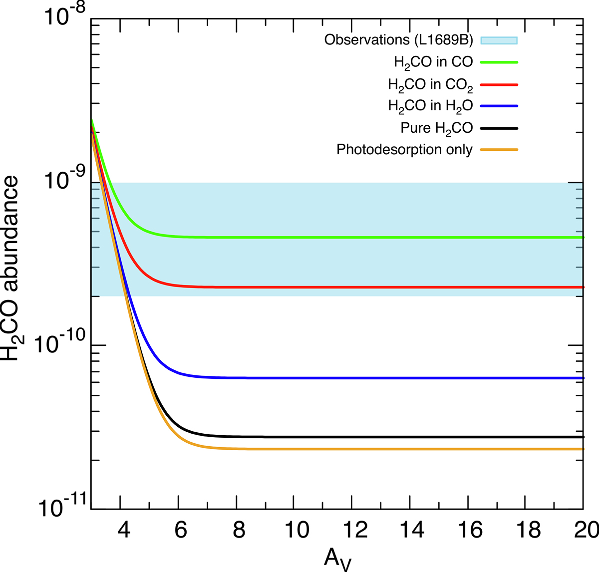
Fig. 10.

Download original image
H2CO gas phase abundance with respect to H nuclei as a function of visual extinction. The observational value derived in this study for the prestellar core L1689B (blue hatched zone) is compared to five different models for H2CO sputtering: pure H2CO ice and H2CO ideally diluted in H2O, CO2, and CO matrices. See text for details.
Current usage metrics show cumulative count of Article Views (full-text article views including HTML views, PDF and ePub downloads, according to the available data) and Abstracts Views on Vision4Press platform.
Data correspond to usage on the plateform after 2015. The current usage metrics is available 48-96 hours after online publication and is updated daily on week days.
Initial download of the metrics may take a while.