Fig. C.1.

Download original image
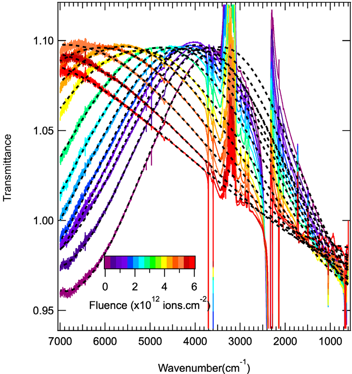
Infrared transmittance spectra of a CO2 ice film evolution upon 74 MeV 86Kr18+ swift heavy ion irradiation. Solid lines: Experimental data. Dashed lines: Model spectra fitted to the data, without considering the absorption bands. The QMS signal ends around a fluence of 4.1012 ion cm−2, before the end of the irradiation as the instrument stopped prematurely.
Current usage metrics show cumulative count of Article Views (full-text article views including HTML views, PDF and ePub downloads, according to the available data) and Abstracts Views on Vision4Press platform.
Data correspond to usage on the plateform after 2015. The current usage metrics is available 48-96 hours after online publication and is updated daily on week days.
Initial download of the metrics may take a while.