Open Access

Fig. 2

image

Download original image

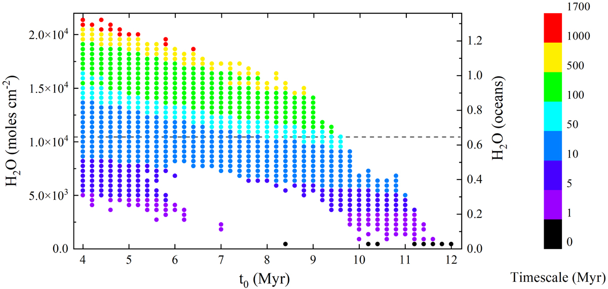
Results illustrated under varying assumptions of the initial hydrodynamic escape onset time, t0, within the context of the slow rotator scenario. Each circle represents a ‘matched case’; namely, a scenario that satisfies the constraints from three isotopic ratios of Ne and Ar in Venus’ atmosphere. The colour bar indicates the timescale required for the complete loss of hydrogen. All cases shown correspond to scenarios with no residual H2 in the secondary atmosphere. The variable t0 represents the time, in million years (Myr), at which the EUV-driven hydrodynamic escape begins. The dashed line marks an initial H2O inventory of 1.05×104 moles/cm2 and an initial CO2 inventory of 2.3×103 moles/cm2 (approximately equivalent to 90 bars of CO2 on present Venus). Matched cases above the dashed line assume an initial CO2 inventory higher than the present value, while those below assume a lower initial CO2 inventory.

Current usage metrics show cumulative count of Article Views (full-text article views including HTML views, PDF and ePub downloads, according to the available data) and Abstracts Views on Vision4Press platform.

Data correspond to usage on the plateform after 2015. The current usage metrics is available 48-96 hours after online publication and is updated daily on week days.

Initial download of the metrics may take a while.