Open Access
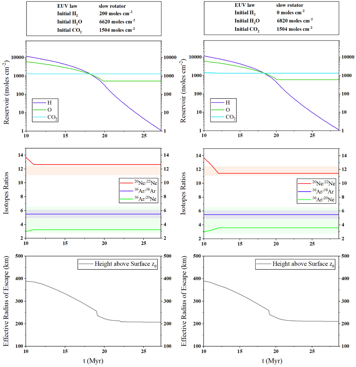
Fig. 4

Download original image
Escape process for an atmosphere with an initial number of hydrogen atoms of 1.36×104 moles cm−2, but with different relative compositions of initial hydrogen. Compared to the left panel, the right panel replaces 200 moles cm−2 of the initial H2 source hydrogen with H2O source hydrogen.
Current usage metrics show cumulative count of Article Views (full-text article views including HTML views, PDF and ePub downloads, according to the available data) and Abstracts Views on Vision4Press platform.
Data correspond to usage on the plateform after 2015. The current usage metrics is available 48-96 hours after online publication and is updated daily on week days.
Initial download of the metrics may take a while.