Fig. 3

Download original image
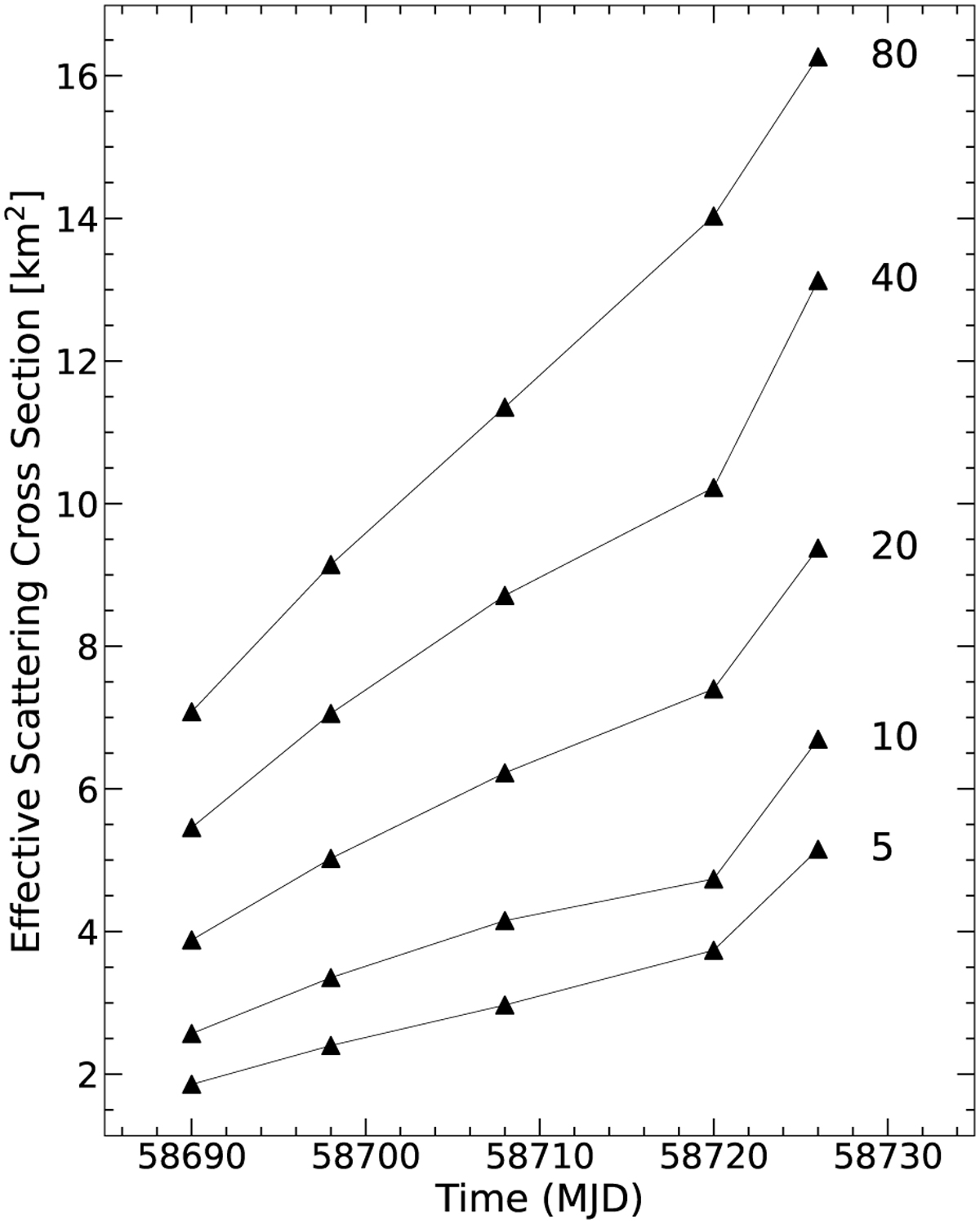
Effective scattering cross section vs. date of observation (MJD) for each of the five apertures with different radii. The radius of each aperture measured in units of 103 km is presented on the right side of each line. Due to the smaller size of the error bars compared to the data points, they become concealed behind these points.
Current usage metrics show cumulative count of Article Views (full-text article views including HTML views, PDF and ePub downloads, according to the available data) and Abstracts Views on Vision4Press platform.
Data correspond to usage on the plateform after 2015. The current usage metrics is available 48-96 hours after online publication and is updated daily on week days.
Initial download of the metrics may take a while.