Open Access

Fig. 16.

image

Download original image

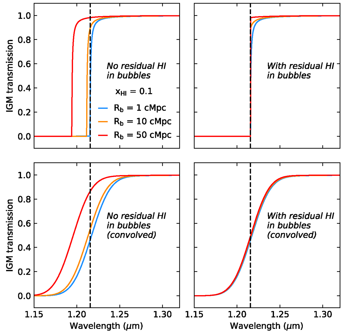
Impact of considering residual neutral hydrogen on IGM transmission curves for models with ionized bubble sizes of 1 cMpc (blue), 10 cMpc (orange) and 50 cMpc (red) and a volume-averaged IGM neutral fraction xHI = 0.1 at redshift 9. The vertical black dashed line marks the observed Lyα wavelength at this redshift. The left column shows IGM damping wings calculated using the Miralda-Escudé (1998) model, assuming that the bubbles are completely ionized. The right column shows the effect of accounting for a small amount of residual neutral gas in the bubbles, which can completely saturate the absorption in the Lyα forest. The top panel shows the models before convolving with the NIRSpec PRISM instrumental profile and the bottom panel shows the models after convolution.

Current usage metrics show cumulative count of Article Views (full-text article views including HTML views, PDF and ePub downloads, according to the available data) and Abstracts Views on Vision4Press platform.

Data correspond to usage on the plateform after 2015. The current usage metrics is available 48-96 hours after online publication and is updated daily on week days.

Initial download of the metrics may take a while.