Open Access
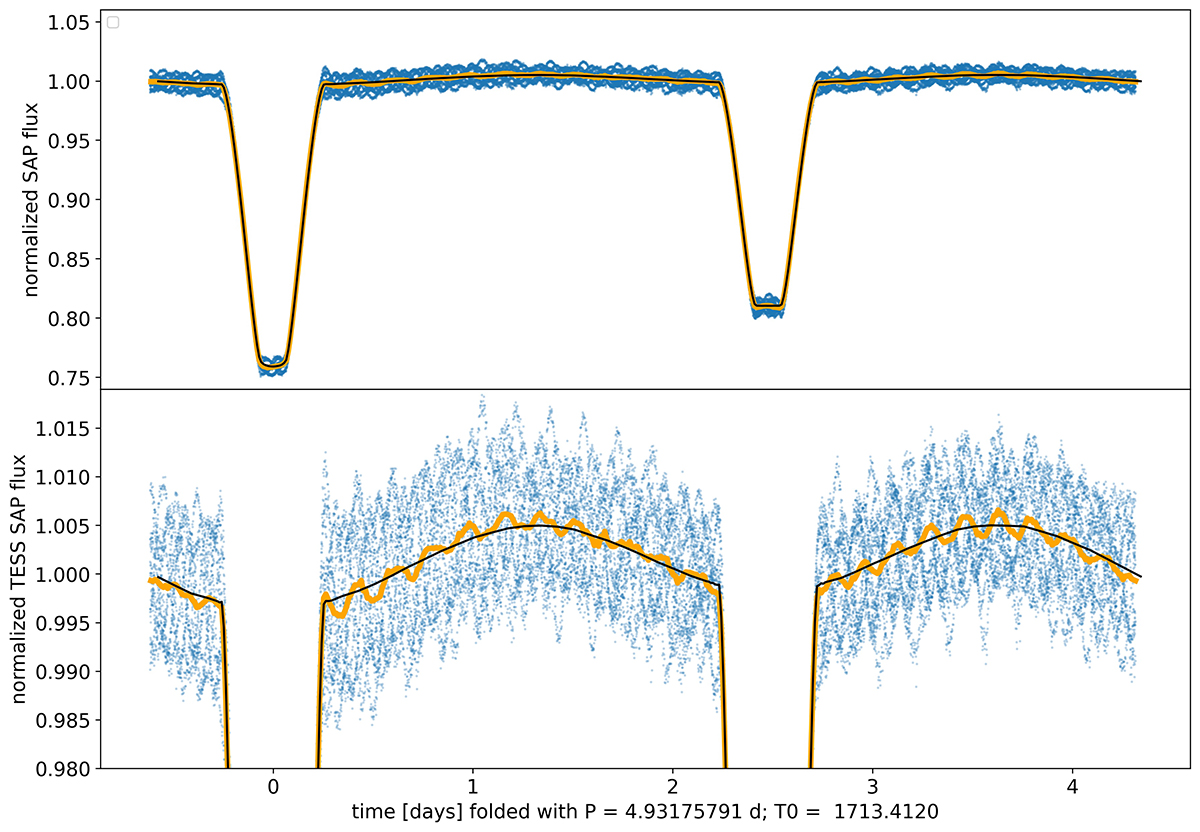
Fig. 13.

Download original image
Light curves of sectors 15 and 17 (blue dots) with a time resolution of 2 min, folded with the orbital period. The orange line denotes the folded light curve binned to 15 min steps. The black line is the result of the optimized PHOEBE fit.
Current usage metrics show cumulative count of Article Views (full-text article views including HTML views, PDF and ePub downloads, according to the available data) and Abstracts Views on Vision4Press platform.
Data correspond to usage on the plateform after 2015. The current usage metrics is available 48-96 hours after online publication and is updated daily on week days.
Initial download of the metrics may take a while.