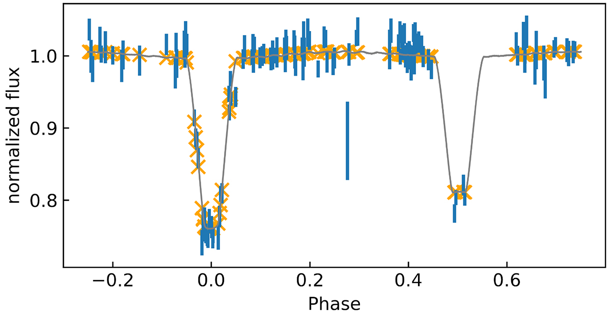
Fig. 3.

Download original image
Hipparcos phase-folded photometry, for which the phases were computed from the minimum epoch BJD (Min I)Hp and period PHp given in the text. The Hipparcos measurements are indicated by blue error bars, and the length of the symbol indicates its measurement uncertainty. The reference TESS light curve is indicated by a gray line and orange crosses at the phase of the Hipparcos observations.
Current usage metrics show cumulative count of Article Views (full-text article views including HTML views, PDF and ePub downloads, according to the available data) and Abstracts Views on Vision4Press platform.
Data correspond to usage on the plateform after 2015. The current usage metrics is available 48-96 hours after online publication and is updated daily on week days.
Initial download of the metrics may take a while.