Fig. 4.

Download original image
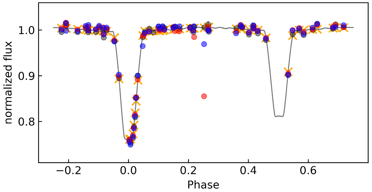
Gaia phase-folded photometry in the G (black), Bp (blue), and Rp (red) filters. The phases were computed from the minimum epoch BJD (Min I)G and period PG given in the text. The symbol size is larger than the measurement uncertainty. The reference TESS light curve is indicated by a gray line and orange crosses at a phase close to the phases of the Gaia observations. The two Gaia points at around phase 0.25 that depart from the general trend might be due to an instrumental issue.
Current usage metrics show cumulative count of Article Views (full-text article views including HTML views, PDF and ePub downloads, according to the available data) and Abstracts Views on Vision4Press platform.
Data correspond to usage on the plateform after 2015. The current usage metrics is available 48-96 hours after online publication and is updated daily on week days.
Initial download of the metrics may take a while.