Open Access
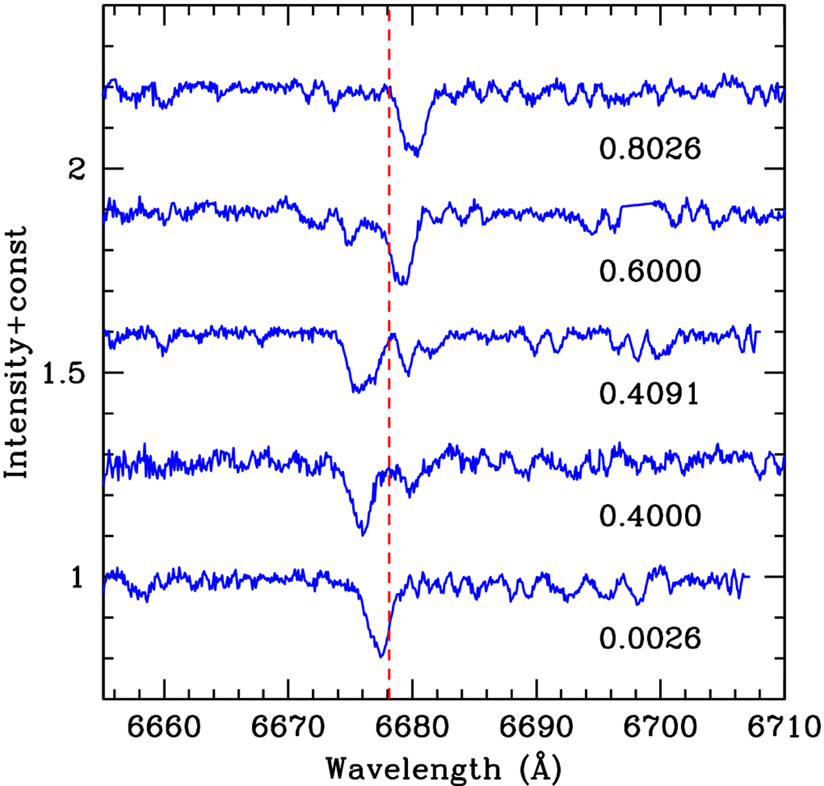
Fig. 6.

Download original image
Normalized spectra in the He I λ6678 region stacked from bottom to top in order of increasing orbital phase, which is indicated. The vertical line indicates the laboratory wavelength of the line. No heliocentric correction was applied.
Current usage metrics show cumulative count of Article Views (full-text article views including HTML views, PDF and ePub downloads, according to the available data) and Abstracts Views on Vision4Press platform.
Data correspond to usage on the plateform after 2015. The current usage metrics is available 48-96 hours after online publication and is updated daily on week days.
Initial download of the metrics may take a while.