Open Access

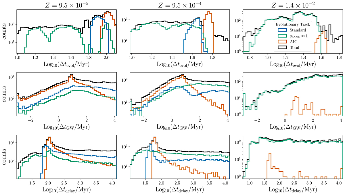
Fig. 7.

image

Download original image

Distribution of the properties of the population of BNS at their formation (i.e. right after the secondary SN) and at three metallicities: Z = 9.5 × 10−5 (left), Z = 9.5 × 10−4 (centre), and Z = 1.4 × 10−2 (right). From top to bottom, the three rows show the distributions of (1) stellar evolution times, (2) merger times, and (3) delay times. As in Fig. 5, the standard evolutionary track is shown in blue, the equal-mass track in green, and the AIC track in orange. In black, we show the total population. The count sum of the three evolutionary tracks accounts for ∼95% of systems (see Sect. 2.3).

Current usage metrics show cumulative count of Article Views (full-text article views including HTML views, PDF and ePub downloads, according to the available data) and Abstracts Views on Vision4Press platform.

Data correspond to usage on the plateform after 2015. The current usage metrics is available 48-96 hours after online publication and is updated daily on week days.

Initial download of the metrics may take a while.