Open Access

Fig. 4

image

Download original image

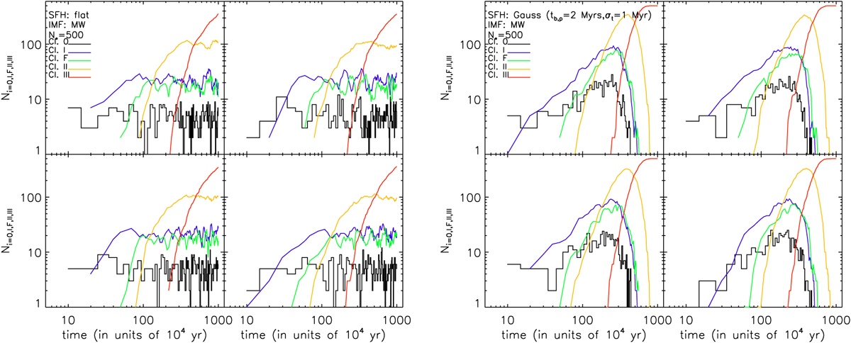
Left: four realizations of the time evolution of the number of YSOs in different protostellar classes. Each cluster has N* = 500, a Milky Way-like IMF and a constant SFH. Right: similar to left panel, but here each cluster has N* = 500, a Milky Way-like IMF, and a Gaussian-like SFH. The Gaussian’s peak is at 2 Myr and the standard deviation is 1 Myr. The bin-size on the x-axis is 105 yr and the same value is used in subsequent plots.

Current usage metrics show cumulative count of Article Views (full-text article views including HTML views, PDF and ePub downloads, according to the available data) and Abstracts Views on Vision4Press platform.

Data correspond to usage on the plateform after 2015. The current usage metrics is available 48-96 hours after online publication and is updated daily on week days.

Initial download of the metrics may take a while.