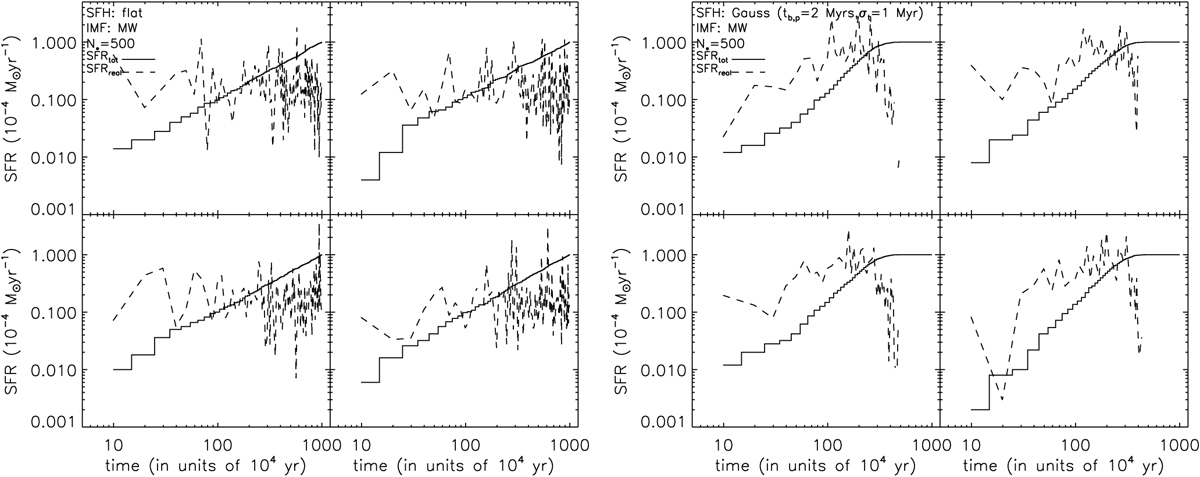
Fig. 6

Download original image
Left: four realizations of the time evolution of the true SFR (SFRreal, dashed line) and the SFR measured using the total number of YSOs and an average lifetime for all Classes. Each clusters has N* = 500, a Milky Way-like IMF and a constant SFH. Right: similar to the left panel, but here, each cluster has N* = 500, a Milky Way-like IMF, and a Gaussian-like SFH. The Gaussian’s peak is at 2 Myr and the standard deviation is 1 Myr.
Current usage metrics show cumulative count of Article Views (full-text article views including HTML views, PDF and ePub downloads, according to the available data) and Abstracts Views on Vision4Press platform.
Data correspond to usage on the plateform after 2015. The current usage metrics is available 48-96 hours after online publication and is updated daily on week days.
Initial download of the metrics may take a while.