Open Access
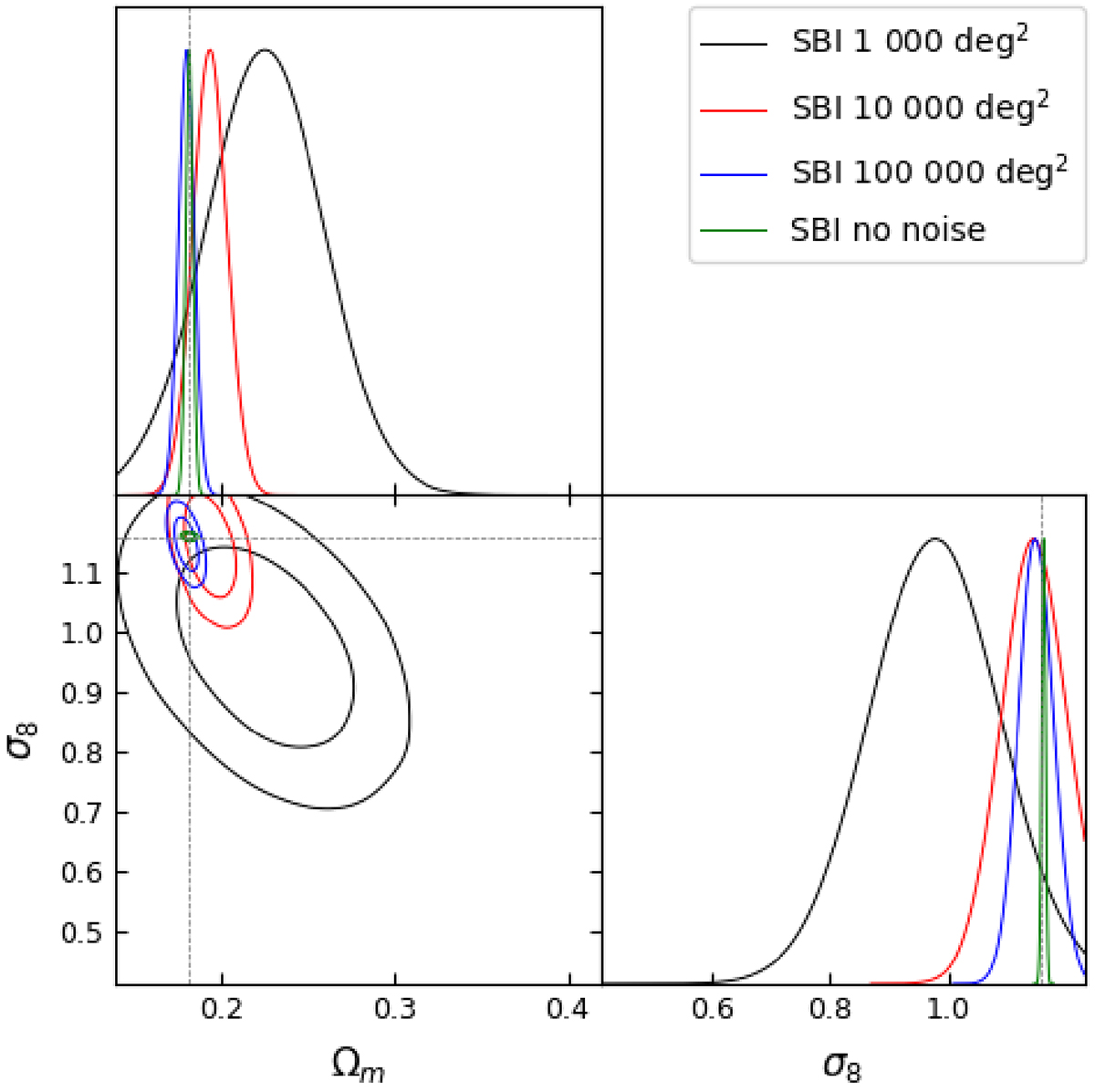
Fig. 15.

Download original image
NDE’s cosmological results for four different survey areas computed for a target XOD with its Ωm and σ8 values close to the borders of our simulation box. The regressor and density estimator neural networks were trained on our D1 dataset, with dn/dz selection and free γ parameters.
Current usage metrics show cumulative count of Article Views (full-text article views including HTML views, PDF and ePub downloads, according to the available data) and Abstracts Views on Vision4Press platform.
Data correspond to usage on the plateform after 2015. The current usage metrics is available 48-96 hours after online publication and is updated daily on week days.
Initial download of the metrics may take a while.