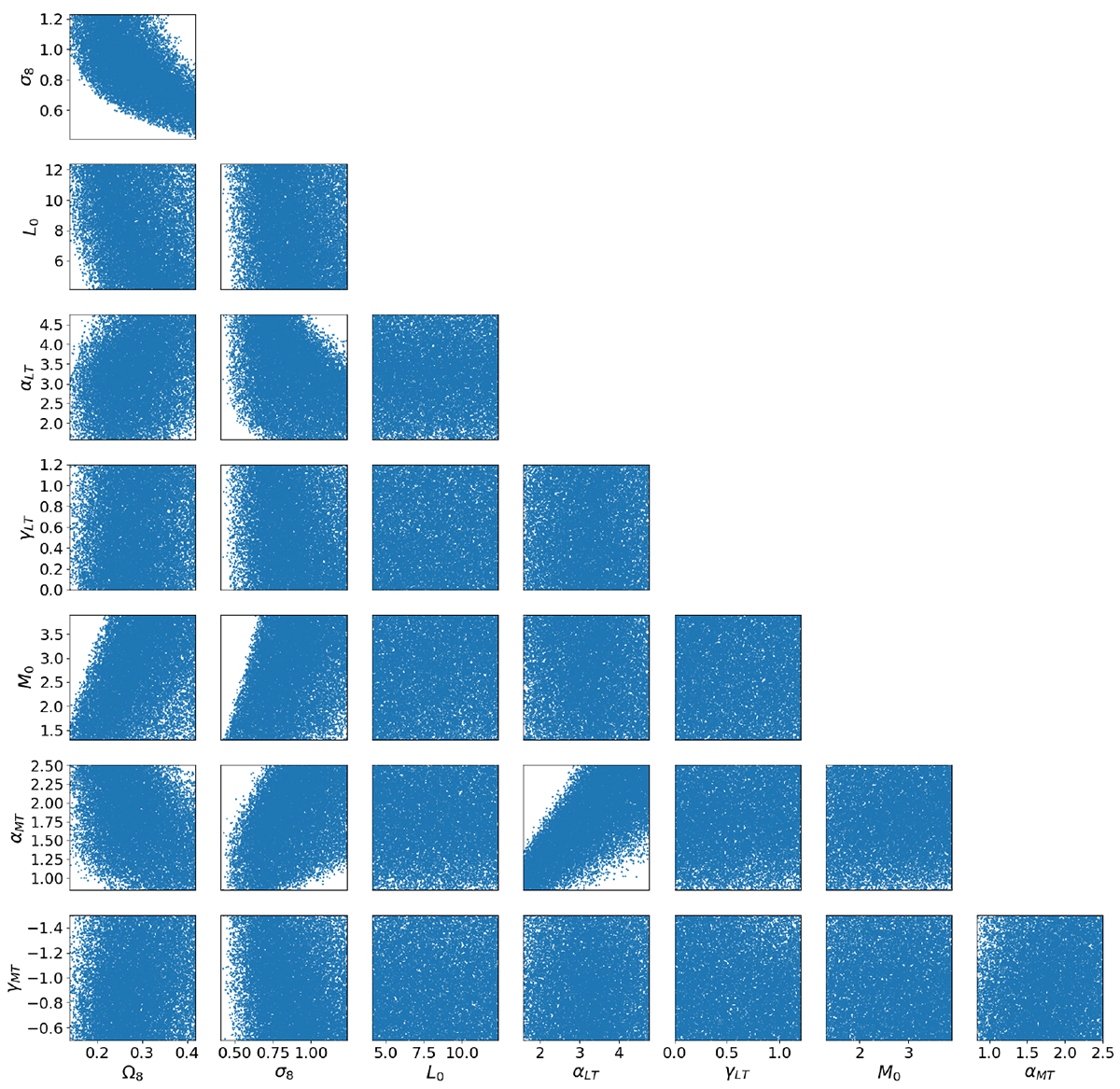
Fig. 4.

Download original image
Prior distribution of the two cosmological and six scaling relation parameters after dn/dz subselection for D1 dataset. The blue dots represent parameters of XODs that were accepted by the dn/dz selection on this dataset. We can see that the dn/dz selection flags forbidden regions compared to the initial random uniform selection from this parameter space.
Current usage metrics show cumulative count of Article Views (full-text article views including HTML views, PDF and ePub downloads, according to the available data) and Abstracts Views on Vision4Press platform.
Data correspond to usage on the plateform after 2015. The current usage metrics is available 48-96 hours after online publication and is updated daily on week days.
Initial download of the metrics may take a while.