Open Access

Fig. B.2.

image

Download original image

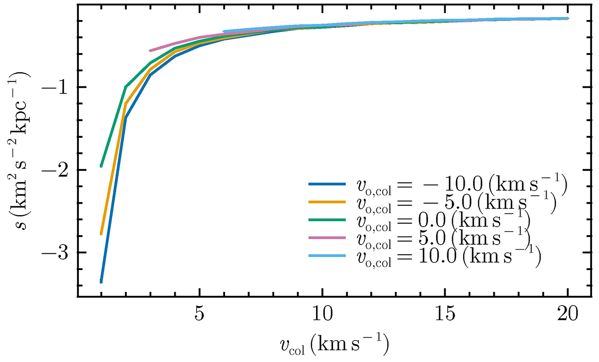
The dependence of the de-acceleration on the inner radius (Ri) collapsing speeds (vcol). In the calculation, the inner radius reaches 0 at different times, hence the lifetime of SBs are different and overall contribution per SB is elevated. In the analysis we kept the rate of SB formation (fb) as constant. The lines show different outer radius collapsing speeds, and some do not reach small values as the outer radius of SB would shrink below inner radius, which we consider physically inconsistent.

Current usage metrics show cumulative count of Article Views (full-text article views including HTML views, PDF and ePub downloads, according to the available data) and Abstracts Views on Vision4Press platform.

Data correspond to usage on the plateform after 2015. The current usage metrics is available 48-96 hours after online publication and is updated daily on week days.

Initial download of the metrics may take a while.