Open Access

Fig. 5.

image

Download original image

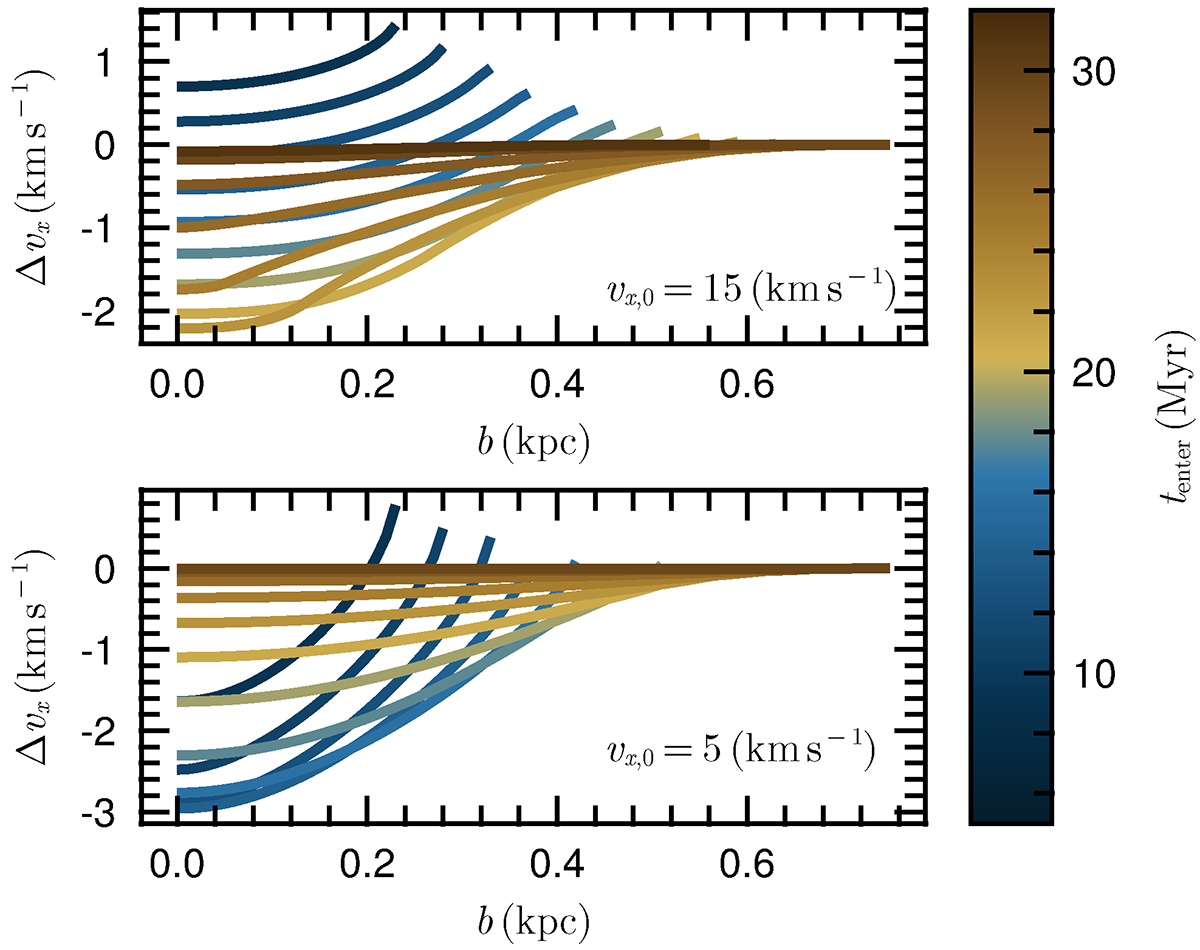
Velocity changes for stars passing through the SB. The top part of the panel shows stars that enter the SB with v0 = (15, 0) km s−1, while in the bottom half v0 = (5, 0) km s−1. The colour depicts the time the star enters the SB (see colour scale at right).

Current usage metrics show cumulative count of Article Views (full-text article views including HTML views, PDF and ePub downloads, according to the available data) and Abstracts Views on Vision4Press platform.

Data correspond to usage on the plateform after 2015. The current usage metrics is available 48-96 hours after online publication and is updated daily on week days.

Initial download of the metrics may take a while.