Open Access

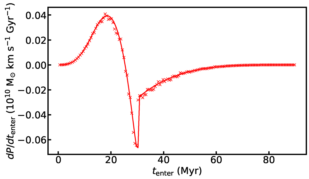
Fig. 6.

image

Download original image

Momentum exchange rate between the stellar population and an idealised thin-edged SB with constant expansion and contraction velocities vexp = 20 km s−1 and vcol = 10 km s−1, respectively, and expansion phase duration of 30 Myr. The ambient gas density is 0.015 M pc−3. The stellar density is 0.1 M pc−3, with a Maxwellian velocity distribution with σ = 25 km s−1. The relative velocity between the SB and the stellar distribution is vb = 10 km s−1. The solid line shows the semi-analytical solution given by Eq. (A.21); the symbols correspond to the full numerical solution.

Current usage metrics show cumulative count of Article Views (full-text article views including HTML views, PDF and ePub downloads, according to the available data) and Abstracts Views on Vision4Press platform.

Data correspond to usage on the plateform after 2015. The current usage metrics is available 48-96 hours after online publication and is updated daily on week days.

Initial download of the metrics may take a while.