Open Access

Fig. 10

image

Download original image

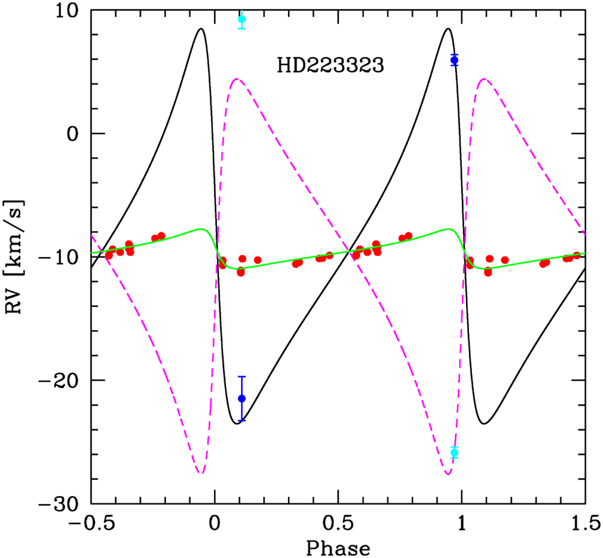
Known ground-based orbital solution for the binary star HD 223323 (Gaia DR3 2852594583674129152). The primary orbit is illustrated with a black continuous line and the secondary with a magenta dashed line. The SB 1 RV measurements are indicated by red dots, whereas the SB2 ones are marked in blue (for the primary) and in cyan (for the secondary). The expected, typical RV of the blend is plotted in green (see text for explanations).

Current usage metrics show cumulative count of Article Views (full-text article views including HTML views, PDF and ePub downloads, according to the available data) and Abstracts Views on Vision4Press platform.

Data correspond to usage on the plateform after 2015. The current usage metrics is available 48-96 hours after online publication and is updated daily on week days.

Initial download of the metrics may take a while.