Open Access

Fig. 6

image

Download original image

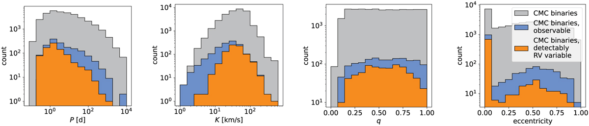
Histograms of the orbital parameters for the GC 47 Tuc derived from the CMC simulation. The panels show the orbital period, the RV semi-amplitude, the mass ratio and the eccentricity distributions for all simulated CMC binaries (gray), the hypothetically observable subset in the FoV (blue) and the final subset of detectable RV variable CMC binaries (orange).

Current usage metrics show cumulative count of Article Views (full-text article views including HTML views, PDF and ePub downloads, according to the available data) and Abstracts Views on Vision4Press platform.

Data correspond to usage on the plateform after 2015. The current usage metrics is available 48-96 hours after online publication and is updated daily on week days.

Initial download of the metrics may take a while.