Fig. 8

Download original image
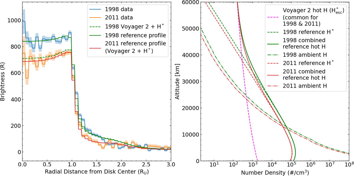
Reference radial brightness (left) and H (right) profiles for 1998 and 2011 observations. Our 1998 and 2011 ambient atmosphere profile is identical to that of Voyager 2, except for 1998, reference ambient H profile is 1.5 × Voyager 2 base ambient H profile. For both 1998 and 2011 model atmospheres, along with Voyager 2 hot H, we introduce new hot H population (H*). The reference H* Chapman profiles shown in this figure have parameters for 1998 as = (0.3 eV, 3000 km, 5000 km, 0.075% of Voyager 2 base ambient H) and for 2011 as
= (0.3 eV, 3000 km, 5000 km, 0.05% of Voyager 2 base ambient H). See text for the meanings of parameters. The reference radial brightness profiles for 1998 and 2011 observations have
and 1, respectively.
Current usage metrics show cumulative count of Article Views (full-text article views including HTML views, PDF and ePub downloads, according to the available data) and Abstracts Views on Vision4Press platform.
Data correspond to usage on the plateform after 2015. The current usage metrics is available 48-96 hours after online publication and is updated daily on week days.
Initial download of the metrics may take a while.