Open Access

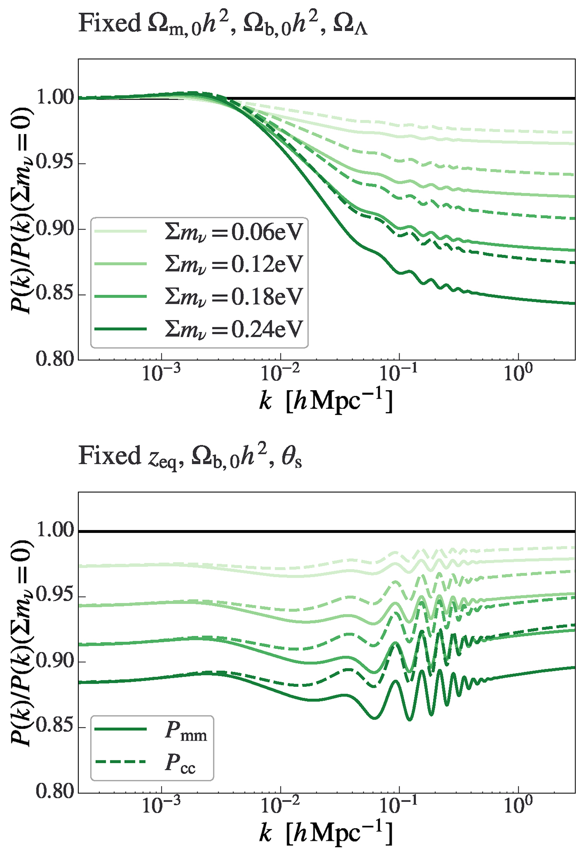
Fig. 1.

image

Download original image

Effects of the neutrino mass on the linear total matter (solid) or cold-plus-baryonic matter (dashed) power spectrum, presented as ratios with respect to the ΛCDM spectrum with massless neutrinos for four different values of the summed neutrino mass. Top: Singling out the effect of neutrino free-streaming, we keep the parameters {Ωm, 0h2, Ωb, 0h2, ΩΛ} fixed. Bottom: Quantities best constrained by CMB data, that is, {zeq, Ωb, 0h2, θs}, are fixed to show what is left for Euclid to measure. The mass is always equally split between the three neutrino species.

Current usage metrics show cumulative count of Article Views (full-text article views including HTML views, PDF and ePub downloads, according to the available data) and Abstracts Views on Vision4Press platform.

Data correspond to usage on the plateform after 2015. The current usage metrics is available 48-96 hours after online publication and is updated daily on week days.

Initial download of the metrics may take a while.