Open Access

Fig. 2.

image

Download original image

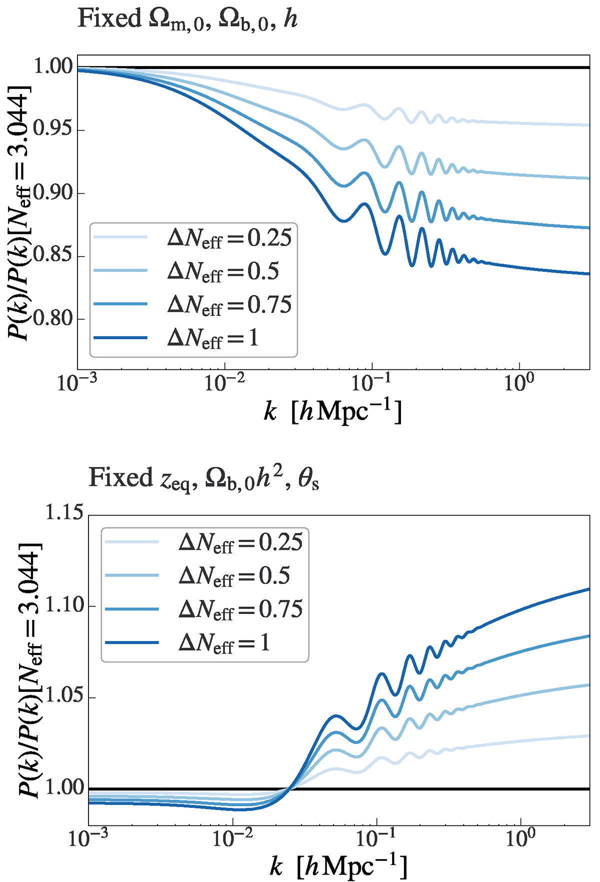
Effect of the effective number of relativistic degrees of freedom Neff = 3.044 + ΔNeff on the linear total matter power spectrum, presented as ratios with respect to the ΛCDM spectrum with Neff = 3.044. Top: Density and Hubble parameters {Ωm, 0, Ωb, 0, h} fixed only. Bottom: Quantities best constrained by CMB data, that is, {zeq, Ωb, 0h2, θs}, are fixed to show what is left for Euclid to measure. Here, we assume only massless neutrinos.

Current usage metrics show cumulative count of Article Views (full-text article views including HTML views, PDF and ePub downloads, according to the available data) and Abstracts Views on Vision4Press platform.

Data correspond to usage on the plateform after 2015. The current usage metrics is available 48-96 hours after online publication and is updated daily on week days.

Initial download of the metrics may take a while.