Open Access

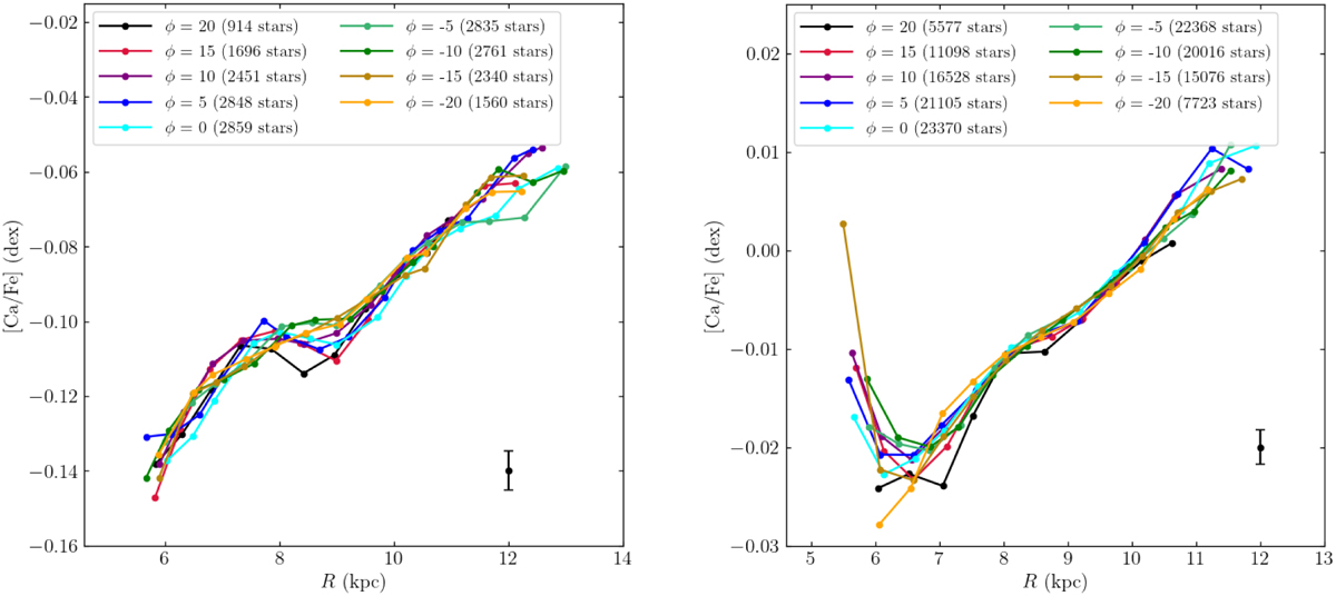
Fig. 6

image

Download original image

Impact of the observed [Ca/Fe] chemical inhomogeneities on the Galactic gradients. Left panel: radial gradients in the [Ca/Fe] abundances of sample A. The colour code illustrates the results of the running mean applied on the stars contained in the different bins of 5°. Each dot corresponds to the mean of all stars every 1.1 kpc for a specific bin of 5°. Right panel: same as the left panel for sample C.

Current usage metrics show cumulative count of Article Views (full-text article views including HTML views, PDF and ePub downloads, according to the available data) and Abstracts Views on Vision4Press platform.

Data correspond to usage on the plateform after 2015. The current usage metrics is available 48-96 hours after online publication and is updated daily on week days.

Initial download of the metrics may take a while.