Open Access

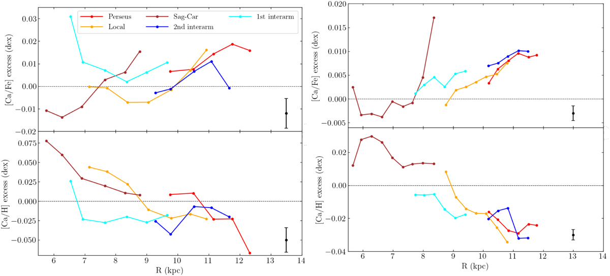
Fig. 7

image

Download original image

Impact of the observed chemical inhomogeneities on the Galactic gradients. Left panels: azimuth-averaged radial distribution for sample A in bins of 650 pc and excluding those with fewer than 20 stars. From top to bottom, we represent the excess of [Ca/Fe] and [Ca/H] in an azimuth-averaged radial distribution based on the currently known locations of the Galactic disc arms and inter-arm from the density distribution of the stars of the sample. Right panels: same as the left panels, but now for sample C, using bins of 350 pc in galactocentric radius R. Bins with fewer than 200 stars were excluded.

Current usage metrics show cumulative count of Article Views (full-text article views including HTML views, PDF and ePub downloads, according to the available data) and Abstracts Views on Vision4Press platform.

Data correspond to usage on the plateform after 2015. The current usage metrics is available 48-96 hours after online publication and is updated daily on week days.

Initial download of the metrics may take a while.