Open Access

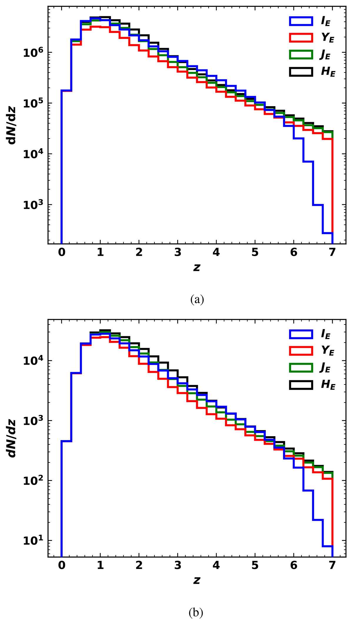
Fig. 7.

image

Download original image

Predicted redshift distributions of Euclid detectable AGN in the redshift range 0.01 ≤ z ≤ 7 in the EWS (top) and EDS (bottom). The data are binned in steps of δz = 0.25. Separate distributions are presented for AGN detectable in each of Euclid’s photometric filters; IE (blue), YE (red), JE (green), and HE (black).

Current usage metrics show cumulative count of Article Views (full-text article views including HTML views, PDF and ePub downloads, according to the available data) and Abstracts Views on Vision4Press platform.

Data correspond to usage on the plateform after 2015. The current usage metrics is available 48-96 hours after online publication and is updated daily on week days.

Initial download of the metrics may take a while.