Press Release
Open Access

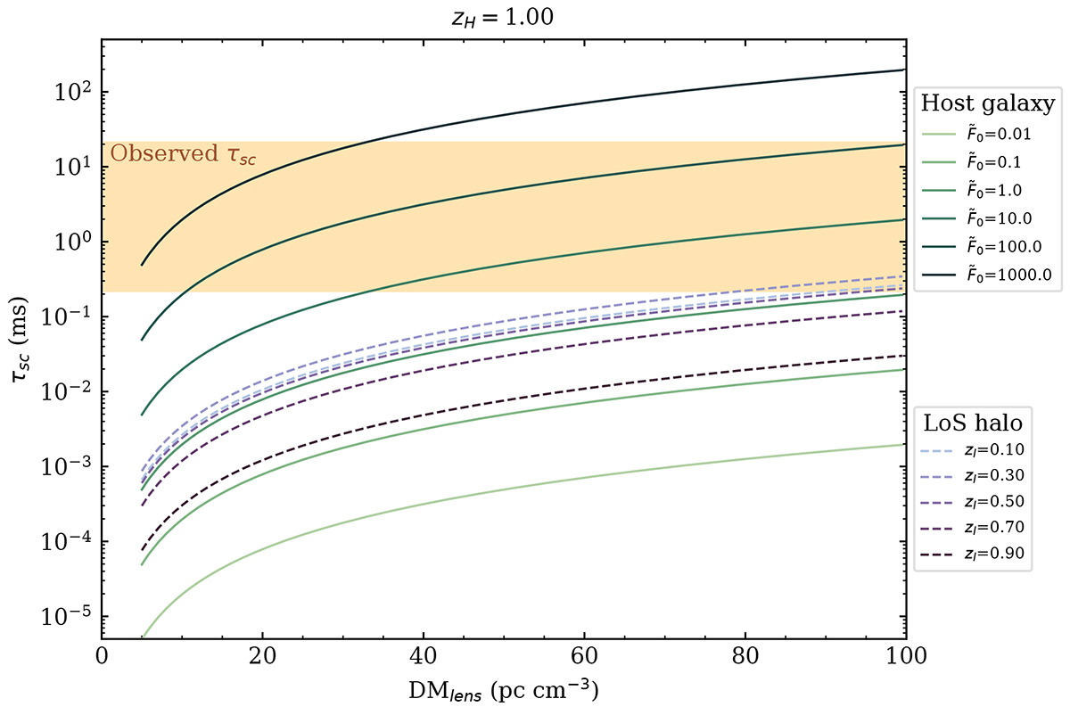
Fig. 22.

image

Download original image

Expected contribution to scattering at 1370 MHz for different lens DMs from an FRB host galaxy at zH = 1 and an intervening galaxy halo within the line of sight. The solid lines show the expected host galaxy contribution for different electron density variations and a geometric boost factor Gsc = 1. The dashed lines show the expected contribution from an intervening galaxy halo with a thickness L = 30 kpc and F 0 = 10 4 $ \tilde{F}_0 = 10^{-4} $ pc−2/3 km−1/3 located at different redshifts. The orange shaded region represents the observed Apertif τsc range.

Current usage metrics show cumulative count of Article Views (full-text article views including HTML views, PDF and ePub downloads, according to the available data) and Abstracts Views on Vision4Press platform.

Data correspond to usage on the plateform after 2015. The current usage metrics is available 48-96 hours after online publication and is updated daily on week days.

Initial download of the metrics may take a while.