Open Access

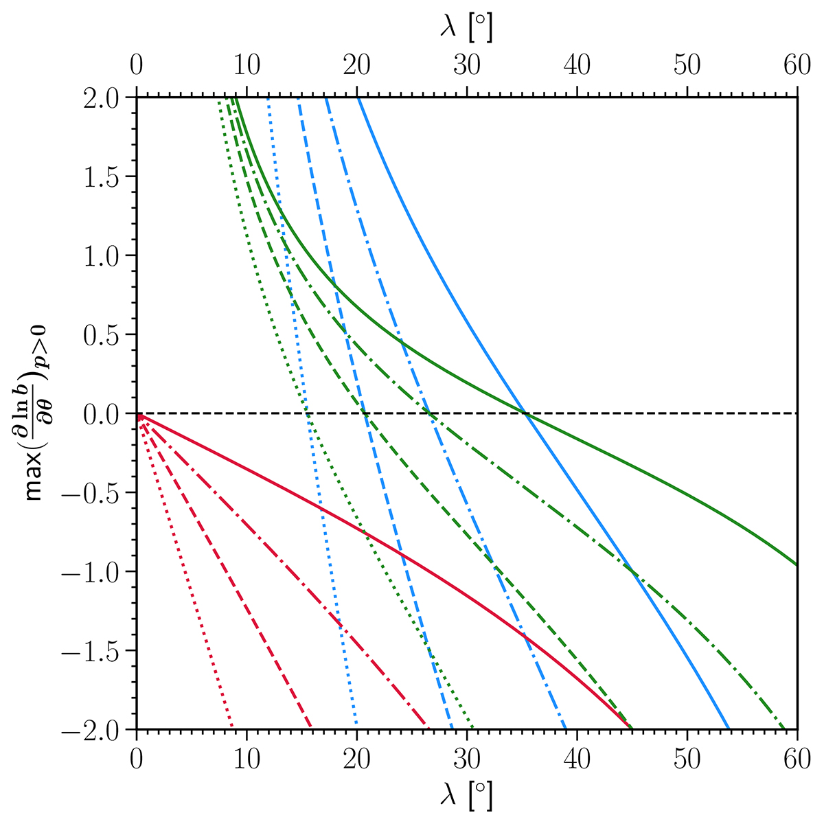
Fig. A.1.

image

Download original image

Maximal value of ∂lnb/∂θ possible for the generation of leading polarity field at latitude λ for values of n = 1, 3, 6, 12 (solid, dash-dotted, dashed and dotted lines respectively). Blue, green and red lines represent cases where m = 0, m = 2 and constant tilt angle.

Current usage metrics show cumulative count of Article Views (full-text article views including HTML views, PDF and ePub downloads, according to the available data) and Abstracts Views on Vision4Press platform.

Data correspond to usage on the plateform after 2015. The current usage metrics is available 48-96 hours after online publication and is updated daily on week days.

Initial download of the metrics may take a while.