Open Access

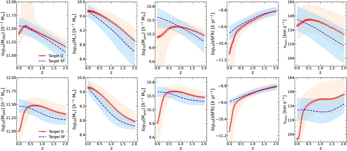
Fig. 1.

image

Download original image

Median trends of the target sample from TNG300 (top) and MDPL2-SAG (bottom). From left to right: M200(z), M(z), Mgas(z), sSFR(z), and vmax(z). The red and blue lines represent the Q and SF samples, respectively. The shaded regions indicate the 16th–84th percentile ranges.

Current usage metrics show cumulative count of Article Views (full-text article views including HTML views, PDF and ePub downloads, according to the available data) and Abstracts Views on Vision4Press platform.

Data correspond to usage on the plateform after 2015. The current usage metrics is available 48-96 hours after online publication and is updated daily on week days.

Initial download of the metrics may take a while.