Fig. 15.

Download original image
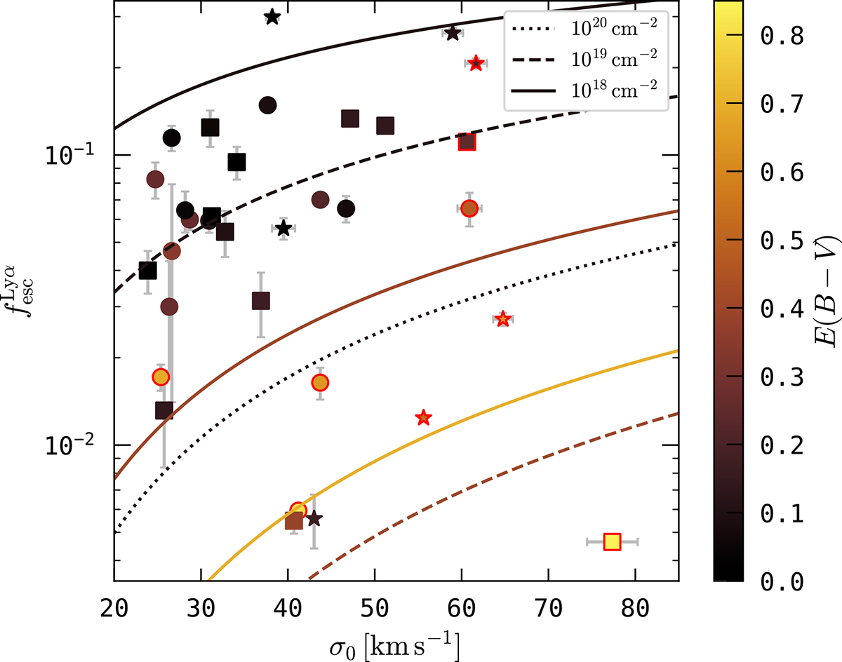
Lyα escape fraction, , vs. intrinsic velocity dispersion σ0. Solid, dashed, and dotted lines indicate the analytically derived approximate solution, our Eq. (12), for monochromatic Lyα radiation escaping a plane parallel slab of NH = 1018 cm−2 (solid lines), 1019 cm−2 (dashed lines), and 1020 cm−2 (dotted line), respectively. For NH = 1018 cm−2 we show curves with E(B − V) = {0.1, 0.4, 0.7}, for NH = 1019 cm−2 curves with E(B − V) = {0.1, 0.4}, and for NH = 1020 cm−2 the curve for E(B − V) = 0.1. We also show the
vs.
pairings of the discussed sample. Scatter points and curves are colour coded by E(B − V) as indicated by the colour bar on the right. As in Fig. 11 we highlight points by red outlines that show LLyα/LHα ratios above the maximum dust screen expectation from Eq. (6).
Current usage metrics show cumulative count of Article Views (full-text article views including HTML views, PDF and ePub downloads, according to the available data) and Abstracts Views on Vision4Press platform.
Data correspond to usage on the plateform after 2015. The current usage metrics is available 48-96 hours after online publication and is updated daily on week days.
Initial download of the metrics may take a while.