Fig. A.3

Download original image
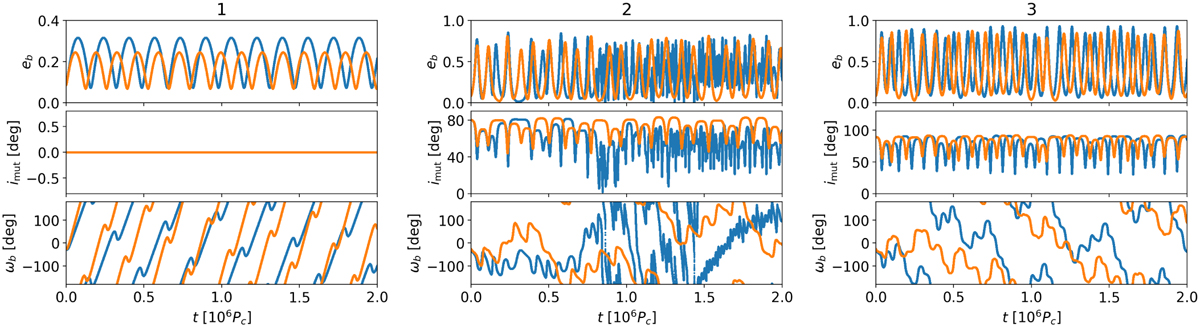
The results of the integration of the TOI-2458 system for the best-fitting initial condition with the orbital eccentricity and nodal longitude of the outer orbit marked with “1”, “2” and “3” in Fig. A.2. The time evolution of selected orbital elements for the Newtonian force is shown in blue, and the Newtonian and GR models are shown in orange, respectively. The integrations were performed with the variable-step, high-accuracy IAS15 integrator.
Current usage metrics show cumulative count of Article Views (full-text article views including HTML views, PDF and ePub downloads, according to the available data) and Abstracts Views on Vision4Press platform.
Data correspond to usage on the plateform after 2015. The current usage metrics is available 48-96 hours after online publication and is updated daily on week days.
Initial download of the metrics may take a while.