Open Access

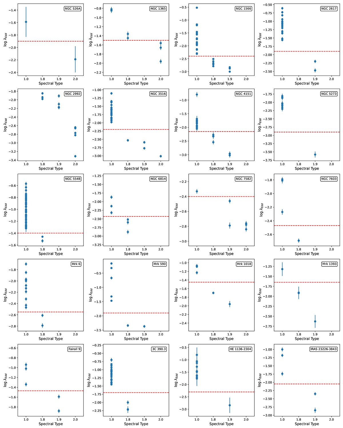
Fig. 1.

image

Download original image

Distribution of λEdd with the spectral states for each source. The horizontal dashed red lines in each panel represent the transition Eddington ratio ( λ Edd tr $ \lambda_{\mathrm{Edd}}^{\mathrm{tr}} $) for each source except NGC 2992. NGC 2992 did not show a transition between type 1 and type 1.8–2 states.

Current usage metrics show cumulative count of Article Views (full-text article views including HTML views, PDF and ePub downloads, according to the available data) and Abstracts Views on Vision4Press platform.

Data correspond to usage on the plateform after 2015. The current usage metrics is available 48-96 hours after online publication and is updated daily on week days.

Initial download of the metrics may take a while.