Open Access

Fig. 3.

image

Download original image

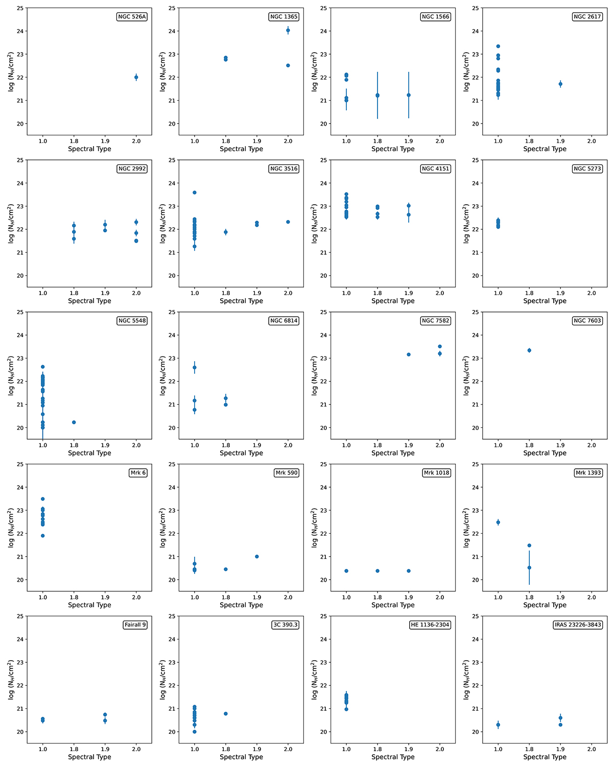
Variation in NH as a function the spectral state for our sample. In NGC 526A, NGC 7603, and HE 1136–2304, the NH value is only available for type 2, type 1.8, and type 1.0 states, respectively.

Current usage metrics show cumulative count of Article Views (full-text article views including HTML views, PDF and ePub downloads, according to the available data) and Abstracts Views on Vision4Press platform.

Data correspond to usage on the plateform after 2015. The current usage metrics is available 48-96 hours after online publication and is updated daily on week days.

Initial download of the metrics may take a while.