Open Access

Fig. 5

image

Download original image

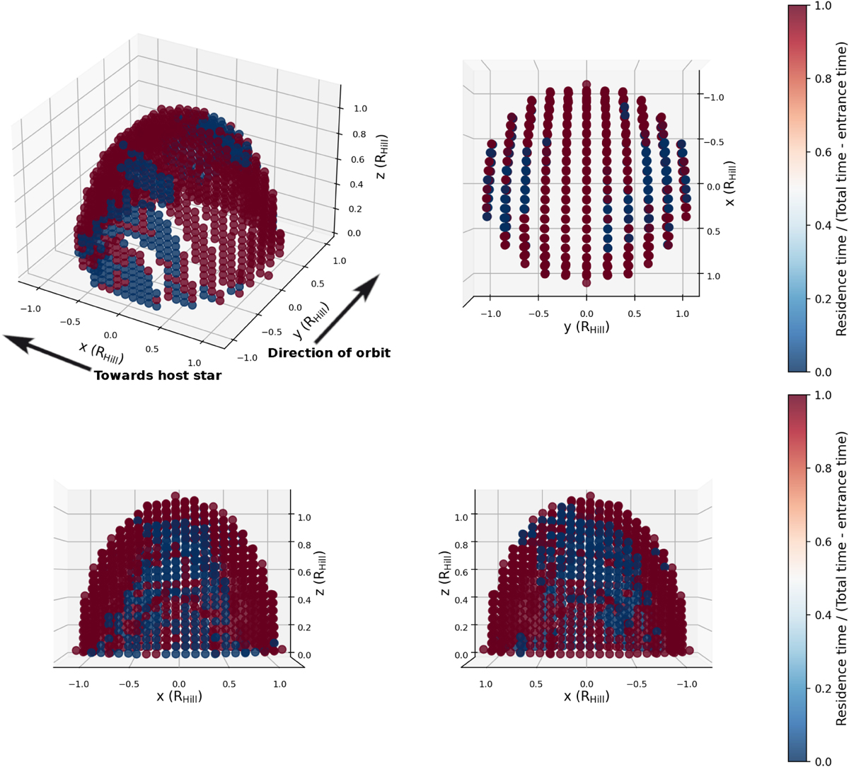
Map of the residence times for a set of initial conditions beginning at a radial distance of 1 RHill from the embedded planet. Each point represents an individual initial condition for the streamline (forward) integration and is colour-coded according to the residence time relative to the difference between the total integration time and the time that the streamline entered into the CPD. The x-axis corresponds to the radial distance along the axis passing through the host star and the embedded planet, centred here on the embedded planet. The y-axis runs perpendicular to the host star-planet axis. The z-axis extends from the midplane to heights above the disk. x > 0 corresponds to a distance farther from the host star than the planet, while y > 0 corresponds to the leading side of the planet’s orbit. Each panel represents the same calculation, but shows different rotations in cartesian space. The bottom left panel represents strictly trailing side initial conditions (y < 0), while the bottom right panel shows the leading side initial conditions (y > 0).

Current usage metrics show cumulative count of Article Views (full-text article views including HTML views, PDF and ePub downloads, according to the available data) and Abstracts Views on Vision4Press platform.

Data correspond to usage on the plateform after 2015. The current usage metrics is available 48-96 hours after online publication and is updated daily on week days.

Initial download of the metrics may take a while.