Open Access

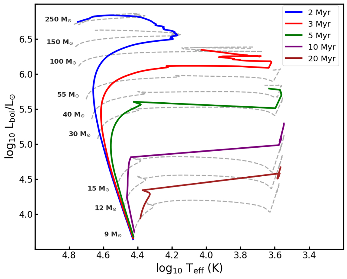
Fig. 1.

image

Download original image

Evolutionary tracks for various ZAMS masses obtained from the BoOST SMC (gray dashed lines; Szécsi et al. 2022) stellar evolutionary tracks, together with the corresponding isochrones interpolated for selected ages (colored solid lines). In this set of stellar evolutionary tracks, cases where two stars along the same isochrone may exhibit Thot > 12 000 K, Tcool < 8000 K, and Lhot/Lcool ≥ 2 arise only at ages ≲3 Myr, where the isochrones curve back towards high Teff (red and blue lines) due to blueward evolution along the MZAMS > 55 M tracks.

Current usage metrics show cumulative count of Article Views (full-text article views including HTML views, PDF and ePub downloads, according to the available data) and Abstracts Views on Vision4Press platform.

Data correspond to usage on the plateform after 2015. The current usage metrics is available 48-96 hours after online publication and is updated daily on week days.

Initial download of the metrics may take a while.