Open Access

Fig. 3.

image

Download original image

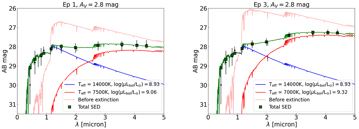
Effect of including circumstellar dust around the cooler component in the two-star solution for the observed Mothra SED. Two fits have been conducted for the SEDs, corresponding to epoch 1 (left) and epoch 3 (right), considering the variability of the cooler component. In the fits presented, the effective temperature and luminosity of the cooler component are both allowed to vary between the epochs. As seen, significant circumstellar extinction (here AV = 2.8 mag) allows for good fits to the SEDs of both epochs while keeping Lhot/Lcool < 1.

Current usage metrics show cumulative count of Article Views (full-text article views including HTML views, PDF and ePub downloads, according to the available data) and Abstracts Views on Vision4Press platform.

Data correspond to usage on the plateform after 2015. The current usage metrics is available 48-96 hours after online publication and is updated daily on week days.

Initial download of the metrics may take a while.