Open Access

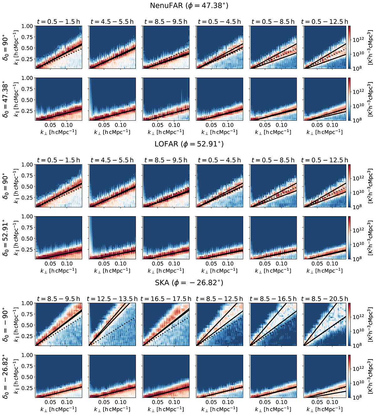
Fig. E.2.

image

Download original image

Cylindrical power spectra for the remaining single source simulations that were not shown in Fig. 8. Here the power spectra correspond to Cas A simulations at the locations of NenuFAR and LOFAR, and Cen A simulations at the location of SKA.

Current usage metrics show cumulative count of Article Views (full-text article views including HTML views, PDF and ePub downloads, according to the available data) and Abstracts Views on Vision4Press platform.

Data correspond to usage on the plateform after 2015. The current usage metrics is available 48-96 hours after online publication and is updated daily on week days.

Initial download of the metrics may take a while.