Open Access

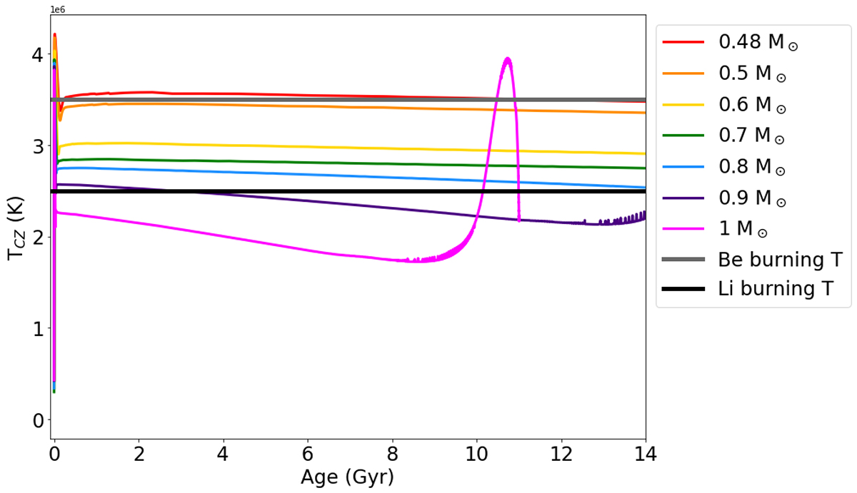
Fig. 7.

image

Download original image

Temperature at the base of the convective zone vs. age for stars of different masses from the YaPSI stellar models. The temperatures needed for the destruction of Li and Be are indicated.

Current usage metrics show cumulative count of Article Views (full-text article views including HTML views, PDF and ePub downloads, according to the available data) and Abstracts Views on Vision4Press platform.

Data correspond to usage on the plateform after 2015. The current usage metrics is available 48-96 hours after online publication and is updated daily on week days.

Initial download of the metrics may take a while.