Open Access
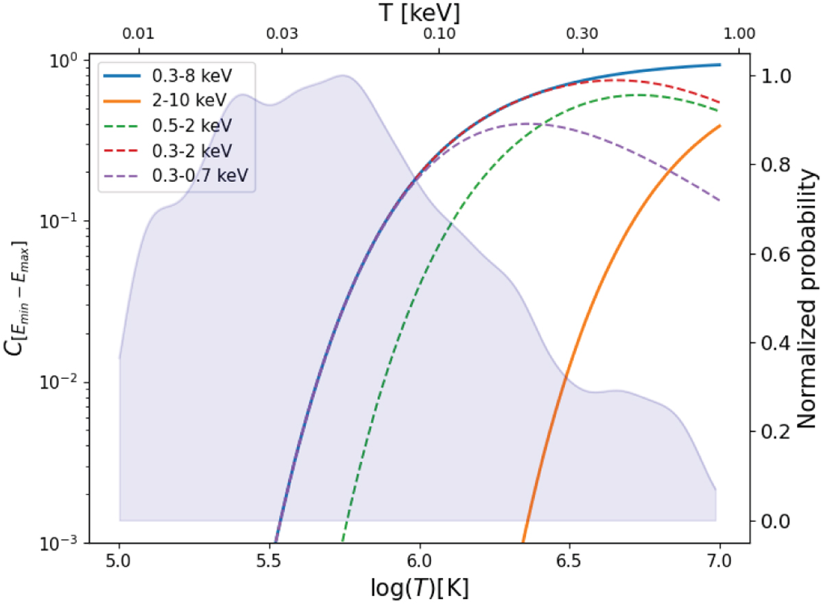
Fig. 3

Download original image
Correction factor for different energy bands to obtain the bolometric X-ray luminosity, depending on the temperature of the inner side of the accretion disk as defined in Mitsuda et al. (1984). The inferred PDF of TX for the DGS is shown in blue.
Current usage metrics show cumulative count of Article Views (full-text article views including HTML views, PDF and ePub downloads, according to the available data) and Abstracts Views on Vision4Press platform.
Data correspond to usage on the plateform after 2015. The current usage metrics is available 48-96 hours after online publication and is updated daily on week days.
Initial download of the metrics may take a while.