Open Access

Fig. D.1

image

Download original image

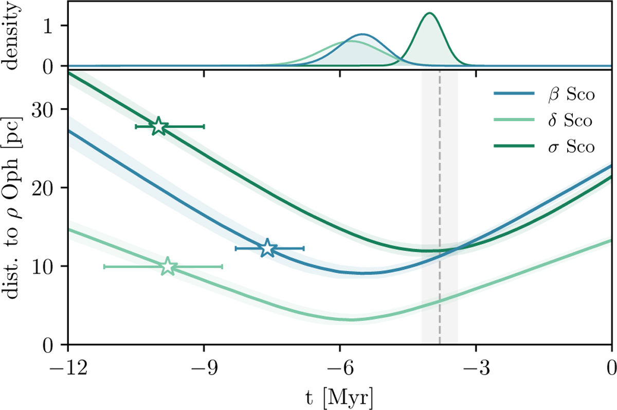
Euclidean distance between p Oph and each of the clusters σ Sco, δ Sco, and β Sco over the past 12 Myr. Ages and their corresponding uncertainties for σ Sco, δ Sco, and β Sco are indicated with a star symbol (taken from R23b and given in Table A.2). The vertical dashed gray line and gray area indicate the age and age uncertainties of p Oph, respectively. Prior to star formation, the motion of these clusters corresponds to that of their primordial clouds. In the upper panel, we show the distribution of times of minimum distance.

Current usage metrics show cumulative count of Article Views (full-text article views including HTML views, PDF and ePub downloads, according to the available data) and Abstracts Views on Vision4Press platform.

Data correspond to usage on the plateform after 2015. The current usage metrics is available 48-96 hours after online publication and is updated daily on week days.

Initial download of the metrics may take a while.