Open Access

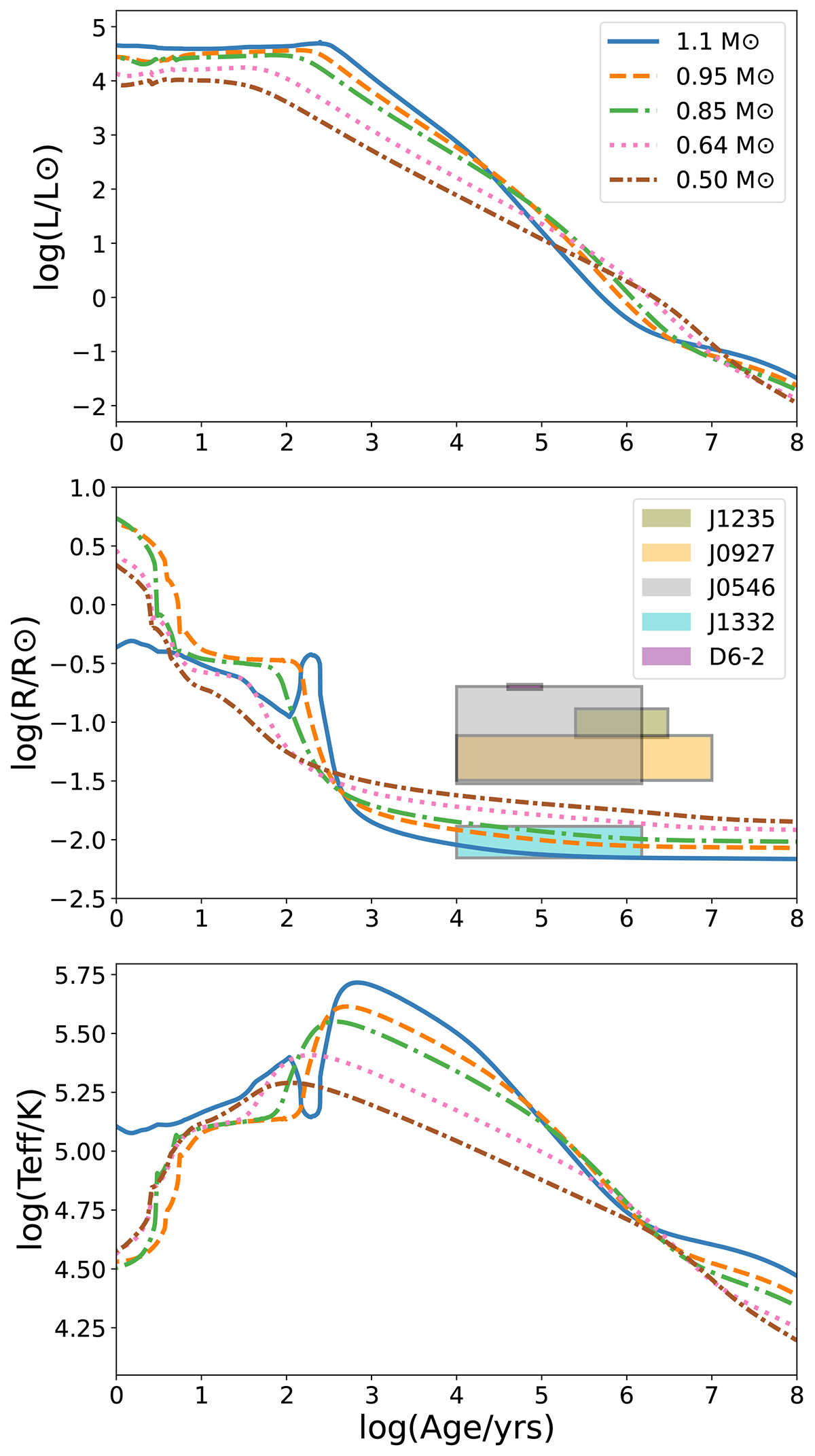
Fig. 11.

image

Download original image

Evolution of the surface luminosity, radius, and temperature of our models. D6 observations are plotted here for the radius. While the radii of D6-1 and D6-3 are similar to those of D6-2, their age estimate is less certain and spans a bigger region. They are not plotted here so as to not overcrowd the diagram. The radius bump at 102 yr for the 1.1 M is due to a lowering of the extra surface pressure (applied to the early evolution for numerical convergence), and is non-physical. The Teff drop corresponds to this.

Current usage metrics show cumulative count of Article Views (full-text article views including HTML views, PDF and ePub downloads, according to the available data) and Abstracts Views on Vision4Press platform.

Data correspond to usage on the plateform after 2015. The current usage metrics is available 48-96 hours after online publication and is updated daily on week days.

Initial download of the metrics may take a while.