Fig. A.1.

Download original image
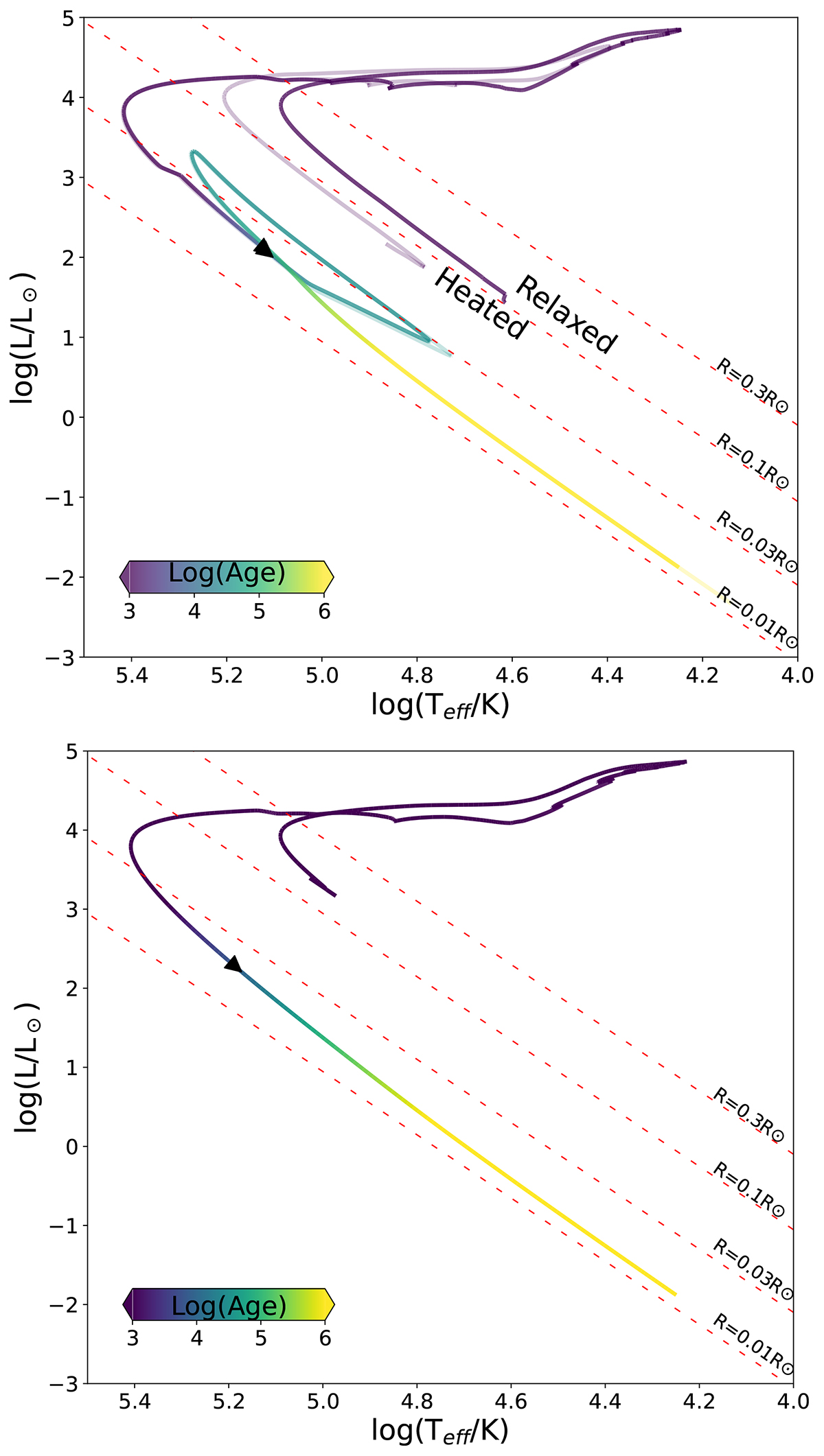
HR diagrams for the 0.64 M⊙ model. [Top Panel] Evolutionary track of the 0.64 M⊙ model relaxed directly to the remnant profile and the model relaxed to donor profile and then heated. Red lines show lines of constant radii from 0.01 − 0.3 R⊙. Only ∼0.001% of the total evolutionary time is spent above R > 0.03 R⊙, without considering the helium flash. [Bottom Panel] Comparison plot of the model without any helium in the inner layers of the star.
Current usage metrics show cumulative count of Article Views (full-text article views including HTML views, PDF and ePub downloads, according to the available data) and Abstracts Views on Vision4Press platform.
Data correspond to usage on the plateform after 2015. The current usage metrics is available 48-96 hours after online publication and is updated daily on week days.
Initial download of the metrics may take a while.