Open Access

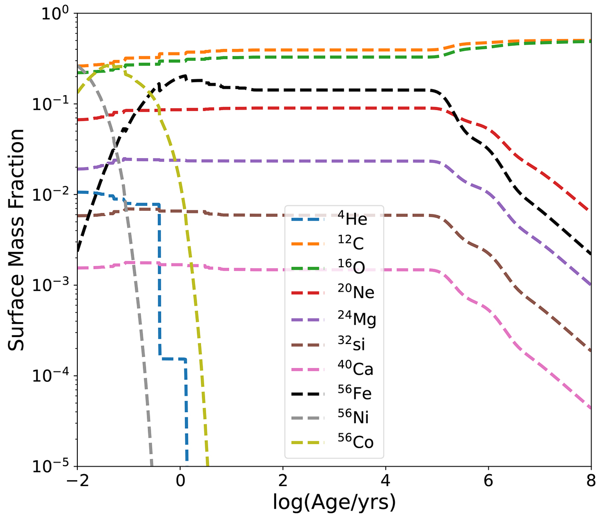
Fig. 9.

image

Download original image

Mass fraction of elements that contribute significantly to the surface composition. The drop in these fractions at the later ages is due to thermohaline mixing.

Current usage metrics show cumulative count of Article Views (full-text article views including HTML views, PDF and ePub downloads, according to the available data) and Abstracts Views on Vision4Press platform.

Data correspond to usage on the plateform after 2015. The current usage metrics is available 48-96 hours after online publication and is updated daily on week days.

Initial download of the metrics may take a while.