Press Release
Open Access

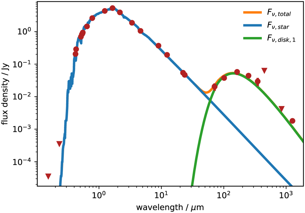
Fig. 3

image

Download original image

Example of multi-wavelength photometry gathered for the GJ 14 system (brown circles for detections, and downward-pointing triangles for upper limits), and best-fit star (blue) and single-component modified blackbody belt model (green) obtained following the method of Yelverton et al. (2019). Best-fit parameters for this and other systems are listed in Table A.2.

Current usage metrics show cumulative count of Article Views (full-text article views including HTML views, PDF and ePub downloads, according to the available data) and Abstracts Views on Vision4Press platform.

Data correspond to usage on the plateform after 2015. The current usage metrics is available 48-96 hours after online publication and is updated daily on week days.

Initial download of the metrics may take a while.