Open Access

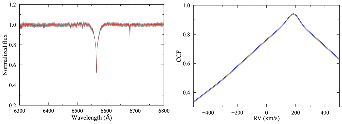
Fig. 2.

image

Download original image

Spectra normalization of the observed and simulated spectra together with their corresponding CCF curves. Left panel: Normalized observed spectrum (red line) and the 100 normalized simulated spectra (gray lines). Right panel: Original CCF curve (blue line) and the CCF curves of the 100 simulated spectra (gray lines).

Current usage metrics show cumulative count of Article Views (full-text article views including HTML views, PDF and ePub downloads, according to the available data) and Abstracts Views on Vision4Press platform.

Data correspond to usage on the plateform after 2015. The current usage metrics is available 48-96 hours after online publication and is updated daily on week days.

Initial download of the metrics may take a while.