Open Access

Fig. 15.

image

Download original image

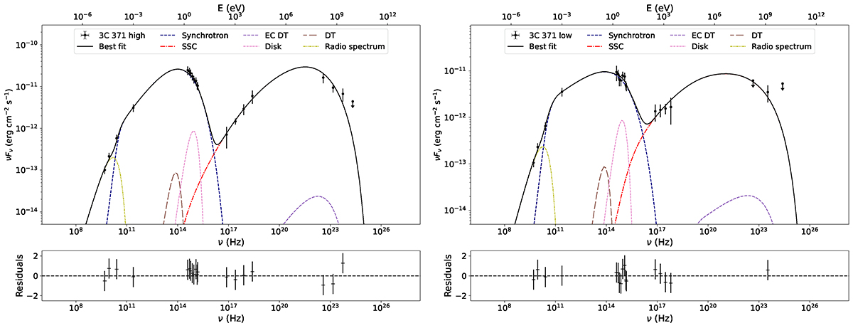
Broadband SED models for the high- (left) and low-brightness states (right) of 3C 371. The top panels contain the broadband SEDs, with the contribution of each component and the best-fit model being represented with different markers, lines, and colours, as indicated in the legend. The bottom panels represent the residuals of the fitted models. We note that the EC scattering contribution via low-energy photons from the BLR was also considered. However, it is even fainter than that from the DT, and therefore does not fall within the scale of the figures and is not included.

Current usage metrics show cumulative count of Article Views (full-text article views including HTML views, PDF and ePub downloads, according to the available data) and Abstracts Views on Vision4Press platform.

Data correspond to usage on the plateform after 2015. The current usage metrics is available 48-96 hours after online publication and is updated daily on week days.

Initial download of the metrics may take a while.