Open Access

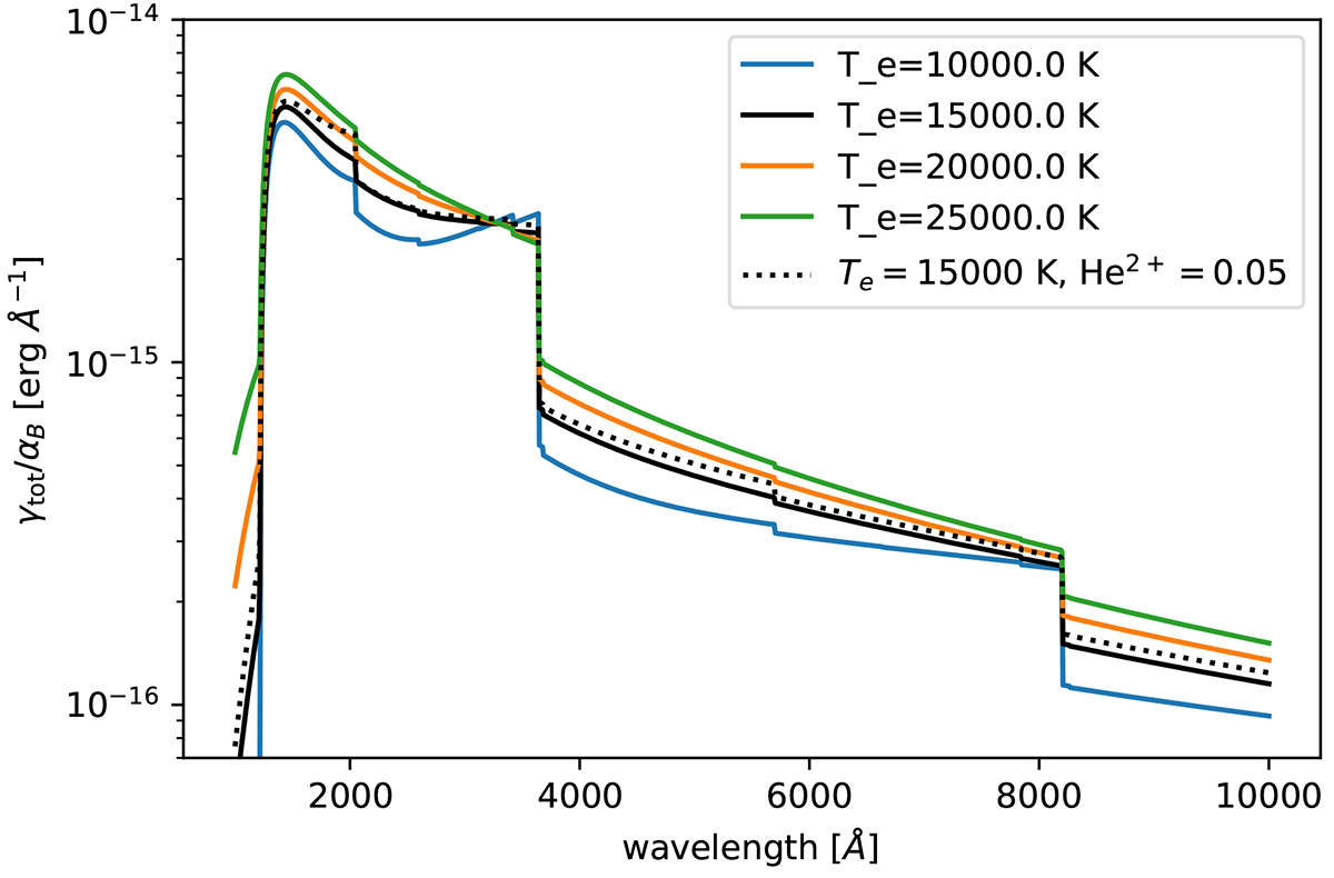
Fig. A.1.

image

Download original image

Nebular continuum emission γtotal/αB of H plus He (with standard abundances) as a function of wavelength and for different electron temperatures. The default value adopted here is shown in black. The dotted line shows γtotal/αB for a highly ionized mixture with n(He+)/n(H+) = n(He2+)/n(H+) = 0.05.

Current usage metrics show cumulative count of Article Views (full-text article views including HTML views, PDF and ePub downloads, according to the available data) and Abstracts Views on Vision4Press platform.

Data correspond to usage on the plateform after 2015. The current usage metrics is available 48-96 hours after online publication and is updated daily on week days.

Initial download of the metrics may take a while.