Open Access

Fig. 7.

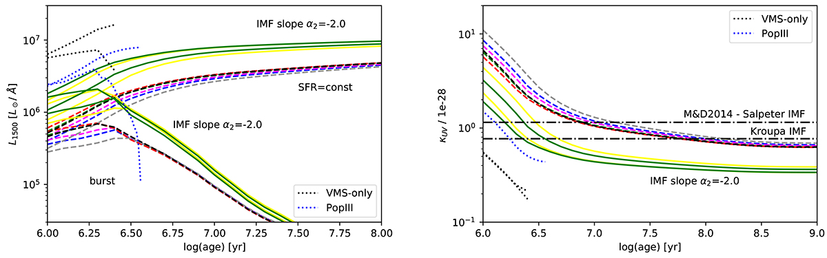
image

Download original image

Temporal evolution of the monochromatic UV luminosity L1500 (left) and the UV star formation rate conversion factor κUV (right panel, for SFR = const) predicted for models with a Salpeter IMF slope (α2 = −2.35) and a flatter IMF (α2 = −2.). L1500 is normalized to 106 M for bursts and to 1 M yr−1 for SFR = const. The models with a Salpeter slope are shown using the same colors as in previous figures. Models with the flat IMF, including also nebular emission), are shown by yellow and green lines. VMS-only models and PopIII models with a top-heavy IMF are shown by dotted lines. All models shown here include nebular continuum emission. Dash-dotted horizontal lines in the right panel show the value of the canonical SFR(UV) conversion factor from Madau & Dickinson (2014) for a Salpeter and a Kroupa IMF.

Current usage metrics show cumulative count of Article Views (full-text article views including HTML views, PDF and ePub downloads, according to the available data) and Abstracts Views on Vision4Press platform.

Data correspond to usage on the plateform after 2015. The current usage metrics is available 48-96 hours after online publication and is updated daily on week days.

Initial download of the metrics may take a while.