Open Access

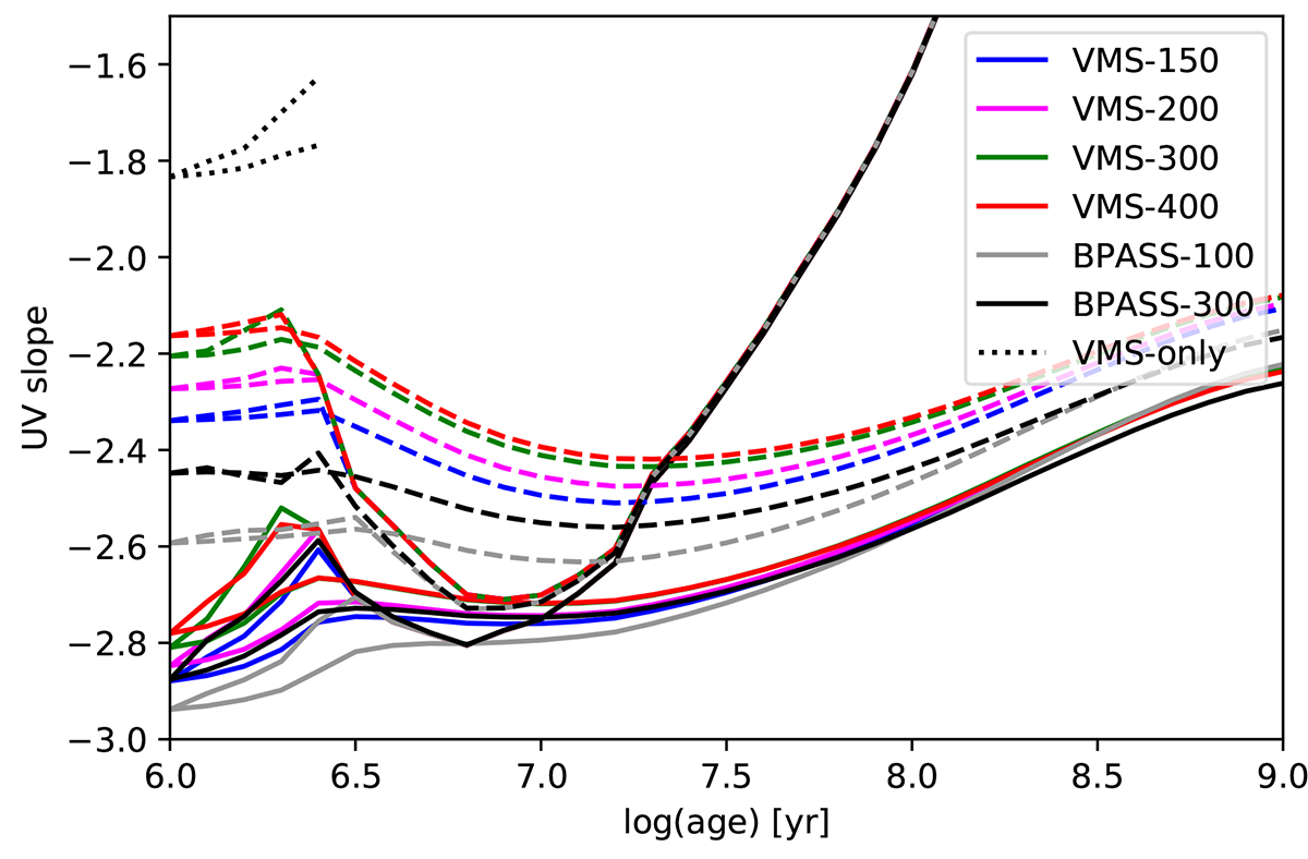
Fig. 8.

image

Download original image

UV slope β1550 as a function of age for the main models presented in this work. Solid lines show the slopes derived for pure stellar models, neglecting nebular continuum emission. Dashed and dotted lines show β1550 including nebular continuum emission.

Current usage metrics show cumulative count of Article Views (full-text article views including HTML views, PDF and ePub downloads, according to the available data) and Abstracts Views on Vision4Press platform.

Data correspond to usage on the plateform after 2015. The current usage metrics is available 48-96 hours after online publication and is updated daily on week days.

Initial download of the metrics may take a while.