Open Access
Fig. 1

Download original image
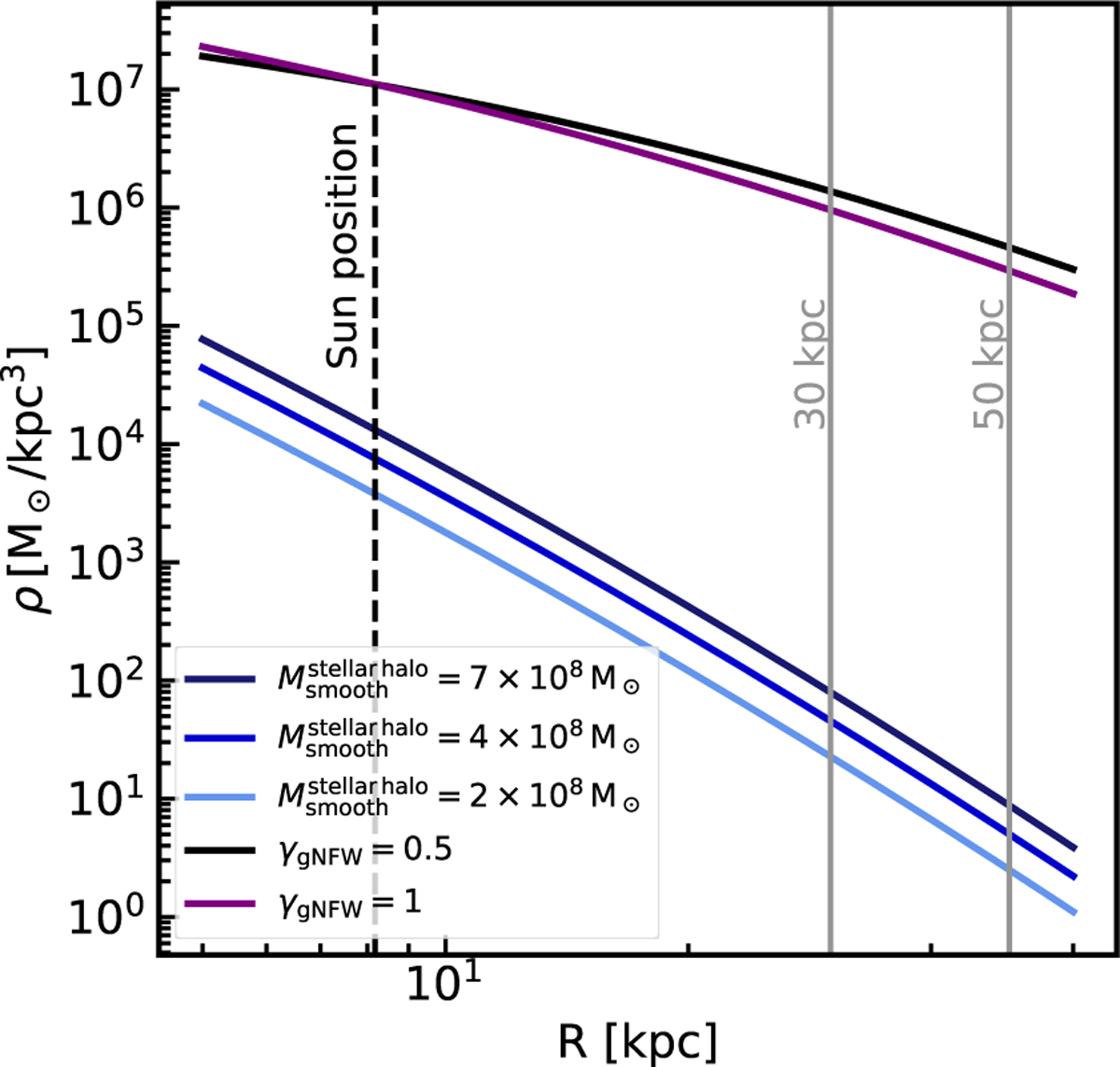
Mass density profile of the virialised stellar and DM halos in the MW. Both gNFW profiles assume a scale-radius and local DM density values of Rs = 20 kpc and ρ0 = 0.011 M⊙/pc3 (Benito et al. 2021), respectively.
Current usage metrics show cumulative count of Article Views (full-text article views including HTML views, PDF and ePub downloads, according to the available data) and Abstracts Views on Vision4Press platform.
Data correspond to usage on the plateform after 2015. The current usage metrics is available 48-96 hours after online publication and is updated daily on week days.
Initial download of the metrics may take a while.